澳门银河赌场注册送38-澳门银河赌场招人好招吗_百家乐德州_全讯网下载 (中国)·官方网站

您所在的位置:首頁 - 科學研究 - 科研動態

科研動態

用于SP測井分析問題的自適應形狀參數RPIM方法和基準

中文題目:用于SP測井分析問題的自適應形狀參數RPIM方法和基準

論文題目:Adaptive Shape Parameter RPIM for SP Log Analysis: Methods and Benchmarks

錄用期刊/會議:IEEE Transactions on Geoscience and Remote Sensing (JCR Q1, TOP)

原文DOI:10.1109/TGRS.2023.3348105

原文鏈接:https://ieeexplore.ieee.org/document/10376191

作者列表

1) 洋 中國石油大學(北京)信息科學與工程學院/人工智能學院 控制科學與工程 博 20

2) 劉得軍 中國石油大學(北京)信息科學與工程學院/人工智能學院 電子信息工程系 教授

3 昊 中國石油大學(北京)信息科學與工程學院/人工智能學院 信息與通信工程 碩 22

4) 韻 中國石油大學(北京)信息科學與工程學院/人工智能學院 控制科學與工程 博 21

5) 于笑洋 中國石油大學(北京)信息科學與工程學院/人工智能學院 信息與通信工程 碩 22

摘要:

本文討論了一種全新通用自適應無網格方法用于計算模擬奇異自發電位測井問題的嘗試。該方法由本團隊首次設計提出并被命名為自適應整體形狀參數“c”徑向基點插值法(OC-RPIM),其采用孿生矩陣新型誤差評估策略,基于局部誤差評估指標,實現了自適應c算法的架構。該方法在不修改離散點配置和多項式階數的情況下具有優異的穩定性和準確性。此外,處理含奇點問題也更容易。研究討論了當OC-RPIM算法應用于SP仿真問題時該架構的通用性和優越性。分析了不同地層條件下SP模擬曲線c的特征規律。該方法為計算大地電磁學(Geo-EM)中的自適應求解算法提供了新的視角。文中所提出的 OC-RPIM 代碼已經開源。

背景與動機:



SP測井是Geo-EM的重要技術之一,由于地層介質的電特性差異,流經地層的電流在不同區域會產生不同的電位分布狀態;另外,不同的地層本身也會形成自然電位差。造成這種現象的原因是由于地層中離子遷移速率不同以及基巖對電離子的各異性吸附特性,基于上述性質,研究人員可以通過檢測井壁電位分布來了解地層變化,該方法實現簡單,已成為常用的測井方法。為了有效解釋測井曲線,地層巖石電響應的理論分析是必不可少的一步,避免了高昂的成本和成本。井下實驗手段潛在的額外風險,與標準解的推導相比,能夠處理復雜問題的EM數值計算方法更傾向于在這一步進行處理。對稱的空間結構和多電介質條件使SP仿真模型成為地電磁勘探模擬問題的典型代表。

設計與實現:

考慮連續區域,可以通過連續區域中有限數量的數據點X={x1, x2, ..., xm}和該點的對應值u={u1, u2, ..., um}來獲得解析解的近似。 基于這一思想提出了點配置無網格方法。 假設u已知,插值關系可以寫為(1),其中(2)是基于RBF得到的插值矩陣。

圖片.png

求解式(2)即可得到插值系數α={α1, α2, ..., αm}。 一般來說,添加有限數量的多項式可以提高有限點條件下逼近全局函數的能力。 因此,我們將一階多項式相加,其中β={β1, β2, ..., βm}是附加多項式系數。

圖片.png

出現的附加變量需要相同數量的插值點來維持插值過程。可采用下列方式維持變量不變,式(2)左邊定義的RBF矩陣A是正定的。將附加多項式的插值修改為多目標優化問題,其中的矩陣閉合表達式為(4)。

圖片.png

P通過將點集代入多項式得到,其過程類似于式(2)中的構造A,其中定義內積的雙線性形式如(5)所示。

圖片.png

對于局部域而言需要滿足公式(6),其中是以目標點為原點的局部笛卡爾坐標。 是將 帶入基函數的計算結果,是1x(m+n)的常數矩陣。

圖片.png

基于公式(6)可獲得局部散點與整體求解空間的關系。

主要內容:

1. SP測井問題的仿真模型描述

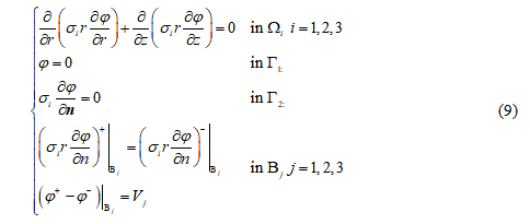
考慮SP不隨時間變化的穩態情況,解空間符合式(7)和(8)所示的安培控制方程。

圖片.png

由于SP的存在,各個介質界面處的電勢差對應于的下標數,其中圖中的加號和減號表示電勢從邊界的負號側向正號側增加。 結合邊界條件,該問題可概括為階躍不連續邊值問題,如式(9)所示。 通過上述解空間的約束,可以得到不同地層條件下的空間場分布。

圖片.png

2. 自適應OC-RPIM算法流程

基于給出的解空間方程以及邊界約束,可采用OC-RPIM算法,進行求解,其流程如下圖所示,為便于比較該算法的優勢,在下圖中還給出了h自適應有限元法的算法流程,該算法是目前最為常用的自適應數值求解方法。



實驗結果及分析:

OC-RPIM的優化準則采用本團隊所提出的誤差估計方法。得益于FEM泛函形成原理類似于擬合過程,FEM的的估計誤差準則可采用擬合過程中計算所獲得的殘差。其離散單元可以根據空間殘差分布進行自適應細化。為了便于討論,迭代次數設置為固定值。 下圖給出了兩種方法多次迭代后真實誤差曲線及其相應誤差評價指標的變化情況。這里使用一階有限元法。高階有限元的計算結果可以在本研究附帶的數據庫中找到,其鏈接可以在本研究的末尾找到。因為高階有限元在這個問題上的結果更差。可以看出,h-FEM 無效,自適應單元細化導致計算結果更差。OC-RPIM可以快速將精度提高到穩定水平。



                                                                                          (a)                                                                                              (b)

Fig. (a) h-FEM iteration two-norm error curve; (b) OC-RPIM iteration two-norm error curve


此外,我們將OC-RPIM算法的計算結果與目前常用的形狀參數c選擇準則下的無網格方法進行了比較,通過對比發現,該算法始終可以c的數值穩定在合理范圍內,而常用的c選擇準則非常容易失效。



                                                                                     (a)                                                                                               (b)

Fig. Effect of shape parameter c on solution error. (a): 2-norm error; (b): maximum error



                                                                                        (a)                                     (b)                                                  (c)                                       (d)

Fig. . The model solution under the optimal shape parameter c condition. (a):c=0.3 normalized vector potential; (b):c=0.3 field intensity distribution;(c):c=0.8 normalized vector potential; (d):c=0.8 field intensity distribution

結論:

由于RPIM算法不需要結構化的網格單元,所以該方法在Geo-EM正演中具有顯著的優勢。 與FEM相比,這種方法更容易處理具有奇點的問題。 但我們通過實驗發現該方法對形狀參數 c 有很強的依賴性。 對于復雜的問題,更平坦的RBF并不一定有更好的效果。 因此,本文提出一種改進的OC-RPIM用于SP測井問題模擬,并在其中加入自適應形狀參數c選擇算法來解決形狀參數敏感性問題。 實驗證明OC-RPIM方法在SP測井模擬中具有較好的精度和穩定性。 本文基于該方法簡單模擬了地層導流能力對SP曲線的影響,得出的結論與測井解釋結論一致。 此外,我們在研究過程中還跟蹤研究了SP測井中形狀參數c的相關變化行為。 發現形狀參數c的選擇可能與問題求解的順利程度有關。 奇點的存在也會影響形狀參數c的選擇。 形狀參數c的規律行為仍不清楚,但不可否認的是OC-RPIM非常有效的。 在后續研究工作中,我們嘗試將該方法擴展到更多的Geo-EM模擬問題,包括時域問題的求解,并進一步研究形狀參數c的復雜機制和與問題類型的關系。本研究的開源程序已上傳于IEEE DataTort:10.21227/ZRWM-WN29。

作者簡介:

劉得軍,教授,中國石油大學(北京)信息科學與工程學院/人工智能學院電子信息工程系,博士生導師。研究方向:電磁測量方法與數值模擬技術、電纜高速數據傳輸理論與技術、機電測量系統虛擬樣機設計等。總計發表科學論文150余篇。

聯系方式:liudj65@163.com

东营区百家乐艺术团| 百家乐手论坛48491| 广州百家乐官网酒店用品制造有限公司| 游戏厅百家乐技巧| 百家乐官网压钱技巧| 十六浦百家乐的玩法技巧和规则 | 百家乐手论坛48491| 利博百家乐官网的玩法技巧和规则| 大发888出纳柜| 极速百家乐官网真人视讯| 网上娱乐城| 百家乐官网桌子黑色| 大方县| 百家乐娱乐网备用网址| 鑫鼎百家乐官网的玩法技巧和规则 | 百家乐平点| 济州岛百家乐官网的玩法技巧和规则| 大发888电话多少| 精通百家乐的玩法技巧和规则 | 和顺县| 大发888赌博网站大全| 百家乐官网稳赢秘笈| 六合彩查询| 百家乐策略网络游戏信誉怎么样 | 兰桂坊百家乐的玩法技巧和规则| 赌博百家乐官网赢不了| 免费玩百家乐的玩法技巧和规则| 百家乐官网游戏模拟| 百家乐官网什么牌最大| 今天六合彩开什么| 百家乐群必胜打朽法| 蓝盾百家乐官网平台| 大发888注册送58下载| 缅甸百家乐赌博有假吗| 百家乐官网怎么押钱| 百家乐官网庄家赢钱方法| 大发888娱乐85战神版| 德州百家乐官网21点桌| 黄金百家乐官网的玩法技巧和规则 | 传奇百家乐的玩法技巧和规则| 玩百家乐官网去哪个娱乐城最安全 |