澳门银河赌场注册送38-澳门银河赌场招人好招吗_百家乐德州_全讯网下载 (中国)·官方网站

您所在的位置:首頁 - 科學研究 - 科研動態

科研動態

對化工過程中一類統一非線性特性的建模與仿真

中文題目:對化工過程中一類統一非線性特性的建模與仿真

論文題目Modeling and Simulation of a Class of Unified Nonlinear Characteristics in Chemical Processes

錄用期刊/會議:The 40th Youth Academic Annual Conference of Chinese Association of Automation (YAC2025) (CAA A類)

錄用/見刊時間: 2025.3.28

作者列表

1)萬欣玥 中國石油大學(北京)人工智能學院 控制科學與工程專業 碩22級

2)王   珠 中國石油大學(北京)人工智能學院 自動化系教師

3)劉佳璇 中國石油天然氣股份有限公司勘探開發研究院

摘要:

隨著人工智能的快速發展,神經網絡已成為工業系統辨識中的關鍵工具。靜態非線性特性如死區、飽和、負載和遲滯現象在執行器、被控對象及傳感器中普遍存在,其中傳感器中的遲滯現象尤為顯著。本文探討了利用神經網絡對靜態非線性特性進行建模與預測的方法,重點研究了一種包含死區、飽和與遲滯等典型非線性特性的靜態NL模型,評估了BP神經網絡與RBF神經網絡在靜態非線性預測中的表現,并通過優化激活函數的選擇來提升模型的泛化能力與預測精度。研究結果為工業系統中復雜非線性行為的建模提供了理論依據與方法參考。

背景與動機:

化工過程具有顯著的時變性和非線性特征,這些特性源于質量守恒、能量守恒與化學反應的共同作用,同時還受到組件故障和外部隨機擾動等因素的影響。尤其在高溫、高壓以及易燃易爆等危險環境下,非線性特性可能導致系統性能下降甚至引發不穩定,嚴重威脅生產安全。因此,研究化工過程中非線性特性的成因及其補償方法,不僅對于提升控制系統的穩定性和性能具有重要意義,更是保障工業生產安全的迫切需求。特別是由于執行器故障引起的飽和、死區和時滯等非線性問題,會顯著影響控制系統的響應和穩定性,亟需深入研究并加以解決。

設計與實現:

在實際系統中,多個非連續非線性常同時存在,只有將其統一描述,才能在系統辨識過程中降低難度并提高模型準確性。因此,本研究對包含多種非線性特性的統一結構進行了調研。S.Rejeb等學者提出了具有統一非線性特性的模型,如圖1所示。

image.png 

圖1 統一非線性特性

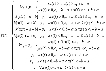
       該模型將死區、飽和、加載和遲滯四種典型非連續非線性結合起來,通過設置不同的參數值0bb9697d578555b00f100fb12b1416b.png,可以抽離出9種不同的非線性組合,該模型的數學表達式如下

d0dc46e9142e23465987ff1a40f183f.png

該模型構建了一個統一描述死區、飽和、加載和遲滯等典型非連續非線性特性的結構,通過調整參數組合可實現多種非線性環節的表達,并在系統辨識領域取得了突破性進展。然而,該模型的數學表達式過于復雜,非線性特性的組合多樣性及參數交叉增加了計算難度。因此,針對多種非線性特性的系統,仍需探索更為合理的系統辨識方法。

主要內容:

本文將遲滯非線性分為上升段和下降段兩種情況進行分析。此外,為解決神經網絡無法描述分叉復雜曲線的問題,提出了帶切換機制的靜態神經網絡模型,利用BP和RBF兩個神經網絡切換機制來描述覆蓋整個數據范圍的曲線,避免了單一網絡無法擬合分叉曲線的局限。對靜態統一非線性中包含遲滯環的情況建立了如下模型:

image.png

圖2 包含遲滯的靜態統一非線性特性的仿真模型

其中,y(t-1)為前一時刻的輸入信號;y(t)為當前時刻的輸入信號;h(t)為符號函數,其表達式為

a09bc18e54dc42d327b38bb6da3cddc.png

       A-NN為上升段神經網絡模型;B-NN為下降段神經網絡模型;be93179cdc98d2f1830fde4c81f48c1.png為上升段神經網絡輸出的預測值;e000c0baecea8889ee10d9e6691579f.png為下降段神經網絡輸出的預測值。如圖2所示的網絡模型中,包含兩個神經網絡模型,由于遲滯非線性的存在,輸出不僅由當前時刻輸入決定,還取決于前一時刻的輸入,因此信號在進入神經網絡前,首先要與前一時刻的輸入信號進行數值上的比較。若當前時刻的輸入大于前一時刻的輸入,則符號函數輸出1,閉合A-NN輸入通道的開關,將當前時刻的輸入信號送入上升段神經網絡中進行訓練;反之,則符號函數輸出0,閉合B-NN輸入通道的開關,將當前時刻的輸入信號送入下降段神經網絡中進行訓練。

實驗結果及分析:

本文基于神經網絡對由死區、飽和、加載、遲滯等典型非線性組成的NL模型進行了研究,驗證結果如圖3所示,BP神經網絡能夠對NL模型進行較好的預測,實際輸出曲線能夠對期望的輸出曲線進行較高程度的擬合,但在NL模型的拐點處,預測值和實際值仍存在誤差,網絡無法對拐點進行很好的預測。

image.png 

圖3 基于NL模型的BP神經網絡的訓練結果

如圖4所示,RBF神經網絡對NL模型具有很好的預測結果,實際輸出曲線與期望輸出曲線的擬合程度高,對NL模型的拐點也能做到很好的逼近。

image.png 

圖4 基于NL模型的RBF神經網絡的訓練結果

結論:

本文研究了化工過程中靜態統一非線性特性的建模與仿真,采用BP神經網絡和RBF神經網絡對死區、飽和、負載和遲滯等非線性組合特性進行訓練與預測。通過選擇合適的激活函數,優化了兩種神經網絡模型的訓練性能和預測精度。實驗結果表明,雖然RBF在預測精度和拐點擬合方面優于BP,但BP由于具備較強的全局學習能力,更適合捕捉動態非線性變化。相比之下,RBF結構更簡單、訓練速度更快,在計算資源受限的情況下具有更高的效率。未來的研究將進一步探索基于真實工業數據的建模方法,并引入RNN和LSTM等時序神經網絡,以提升模型的適應性與預測精度。

作者簡介:

王珠,男,博士,中共黨員,現任中國石油大學(北京)副教授、碩士生導師。2016年至今在中國石油大學(北京)自動化系工作,現任中國自動化學會人工智能技術與工業應用專業委員會委員中國化工學會信息技術應用專業委員會青年委員、北京人工智能學會理事。

在科研與社會服務方面,研究興趣為系統辨識與智能控制、煉化過程動態異常診斷與故障預警、大數據質量預測與綜合優化。近年來,主持重點流程工業企業的高級智能報警項目數項以及國家自然科學基金項目,已發表高水平學術論文30余篇。


线上百家乐手机版| 大发888赌博网站| 哪家百家乐从哪而来| 大发888最新信息| 大亨百家乐游戏| 泰来县| 威尼斯人娱乐城演唱会| 闲和庄百家乐官网娱乐| 桃源县| 大发888舍出同线牌| 赌百家乐庄闲能赢| 澳门百家乐官网开户投注| 大发888直播网| 杰克百家乐玩法| 百家乐官网平预测软件| 百家乐官网小游戏开发| 网上百家乐打牌| 百家乐官网经验博彩正网| 波克棋牌斗地主| 百家乐那里玩| 百家乐官网平注常赢玩法更| 澳门百家乐官网技巧经| 丹巴县| 顶尖娱乐城开户| 百家乐手机游戏下载| 在线玩百家乐官网的玩法技巧和规则 | 蓝盾百家乐官网的玩法技巧和规则 | 百家乐投注网站是多少| 金满堂百家乐官网的玩法技巧和规则| 吉林省| 大发888创建账号翻译| 百家乐龙虎台布作弊技巧| 皇冠即时走地| 大发888优惠活动| 百家乐合作| 百家乐真人游戏棋牌| 百家乐巴黎| 百家乐官网大赌场娱乐网规则| 百家乐官网代打是真的吗| 百家乐官网策略与心得| 百家乐官网视频挖坑|