澳门银河赌场注册送38-澳门银河赌场招人好招吗_百家乐德州_全讯网下载 (中国)·官方网站

您所在的位置:首頁 - 科學研究 - 科研動態

科研動態

基于動態核分解的規范變量分析在動態非線性過程質量監控中的應用

論文題目: Modified canonical variate analysis based on dynamic kernel decomposition for dynamic nonlinear process quality monitoring

發表期刊: ISA Transactions, 2020 (JCR Q1, 中科院2區, SCI)

原文DOI: https://doi.org/10.1016/j.isatra.2020.08.017

作者列表:

1) 張明卿 中國石油大學(北京)信息科學與工程學院 自動化系18

2) 羅雄麟 中國石油大學(北京)信息科學與工程學院 自動化系

文章簡介:

  采用高效的過程監控技術是保證過程運行安全、提高產品質量的關鍵。為此,本文設計了一種改進的基于動態核分解的典型變量分析方法,用于解決動態非線性過程質量監控問題。與傳統的典型變量分析及其擴展核方法不同,該方法的主要目的是在輸入動態核隱變量和輸出變量之間建立一個偏相關非線性模型,并且對此非線性模型進行正交分解,得到與質量完全相關的子空間特征。此外,考慮到隱變量特征依然存在時序性,詳細推導了質量相關子空間特征的過去和未來向量的Hankel矩陣,構造相應的統計度量。

背景與動機

為解決工業過程故障監測與診斷問題,多元統計過程監測(MSPM)成為近十年來研究的重點。其代表方法主要有主成分分析(PCA)、偏最小二乘法(PLS)和典型變量分析(CVA)。盡管PCAPLS已經進行了大量的研究,但兩種方法的實現都存在靜態和線性的假設前提。在實際工業過程中,這些假設是不可能被保證的。過程中的當前變化取決于被測變量的歷史數據。為了克服這一問題,提出了動態PCA和動態PLS方法。通過引入時滯,可以反映數據對時間的依賴性。CVA是一種子空間識別(SSI)監測方法,它提取過去和未來向量的Hankel矩陣的最大相關性,以實現過程監控。盡管CVADPCADPLS都是用來提取動態特征的,但它們仍然處理的是線性關系。在大多數工業過程中,變量之間實際上是高度非線性的,因此,這些線性方法在各種實際情況下的應用受到限制。

本文討論的是非線性動態過程的質量監控。首先建立輸入輸出之間的ARX模型來提取動態特性。隨后,將輸入動態增廣特征投影到高維核空間中,建立輸入動態核隱變量與輸出之間的偏相關模型。采用正交分解分解偏相關模型,實現輸出質量相關性最大化的特征,并詳細推導其過去向量與未來向量的Hankel矩陣形式,構造統計監控量。最后,通過數值仿真,田納西-伊斯曼過程和實際工業過程帶鋼熱軋為例驗證了目的方法的有效性。在這里,由于建立動態核隱變量與輸出之間的偏相關性模型,使得計算復雜度大大降低。

設計與實現

Step1.給定系統的輸入輸出形式387c1dd008194c978513a422b26eb5d1.png為提取輸入輸出之間的動態特征,建立輸入-輸出ARX模型。

7b659a52358441f6b1c12fbd15bfd280.png

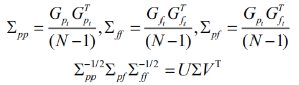
將輸入cc2528678d3a445ab20df3c2cce0f49f.png投影到高維空間ef0d2f3bb2674eeb9125ea6db79d5638.png,得到0a3f64c257ce4f578ed175e1cdbef60f.png。歸一化處理得到9084b3946f3347588c3d41ecd43efd65.png。求取二者之間的協方差9d99aff9d1914f2babe6f6d34c46dca1.png,并進行正交分解得到左右兩個矩陣UV

12af6e277e8046b88f192161bd710aa6.png

Step2.定義兩個變量022fdc6e208a4086897e7b710fc6e18e.png,其中,

82ceb78cab2449059972bb0836fdefae.png

a16c099a4c8b4a9b928c93988e921b69.png是完全相關于

獨立性證明a9829ca262234e6f882fac0ba443e797.png

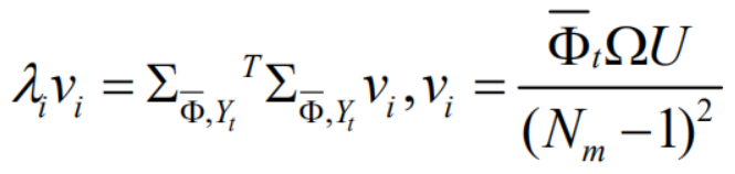
Step3.擴展9d99aff9d1914f2babe6f6d34c46dca1.png方差形式,并進行奇異值分解得到負載向量。

95398d2a9bea4f17962ec7e7ea0a70bd.png 9b2505fd3ffa40afa8babd5fb540d8f4.png


其中b05fea496d8b44e7b160ef8853d24e0e.png,則有cda326f0cff64fc4944892ba9eb23c3c.png

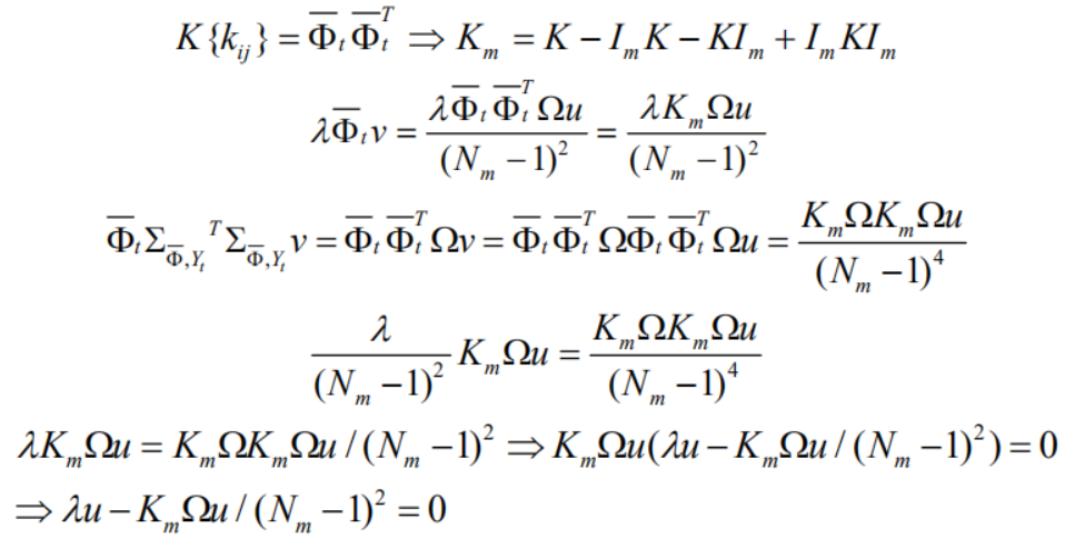
然而,直接求取693d0a729ba0432aa941c14602559091.png是困難的,將其轉化為核矩陣的形式并進行歸一化處理。

866eb6f04a544c7689c1dfefce394bf8.png

因此,最終得到的非線性動態模型的特征以及對應的Hankel矩陣為:

494be6a07022459b9364b9e122cba43e.png

Step4.求取對應的協方差以及交叉協方差,具體如下,

3fcaa9bb27fd41368ae97c9859a3da17.png

最終得到用于計算統計監控量的具體形式:

6790270cdb2648afabcca8982589e56a.png

內空間統計量: 0bdc156cafb74a3d9d4ac90ba6ddc44a.png

殘差空間統計量: 79ac54621a8243c79fa0461252361ba0.png

對于實時采樣數據或者在線操作過程數據到來時,對比統計量與控制限的大小,若超過控制限,則系統判定為故障發生,否則系統正常。

實驗結果及分析

以帶鋼熱軋過程為例,該故障是由F4輥隙控制執行器故障引起的。故障發生后,F4輥隙采樣受到影響,隨后,由于反饋控制的作用,后續機架的輥縫和軋制力會發生變化,從而影響最后一機架的出口厚度。作為一種與質量有關的故障,故障發生在過程運行20s后,即從2000個采樣點檢測到故障出現。

實驗結果:本文對比了5種方法,分別為DKPCACVAKCVAIKCVA以及目的方法DKDCVA。五種方法均能在2000個采樣點上測試到故障的發生。然而,DKDCVA方法得到的誤檢率與漏檢率均最低,尤其是在主成分空間。結果說明,本文方法在不犧牲假陰性率的前提下,降低了假陽性率,而且提出的DKDCVA方法有效地保留用于質量監控的最大特征,從而可以更直觀地得到DKDCVA方法的監測優勢。

作者簡介

羅雄麟,博士

現任中國石油大學(北京)教授、博士生導師、自動化專業(教育部高等學校特色專業)負責人、控制科學與工程(博士一級)學科負責人,校學術委員會委員、校學位委員會委員。北京人工智能學會理事會常務理事、北京自動化學會理事會常務理事。

控制理論與過程控制、化工系統工程、機器學習學者。科研工作涉及控制理論及應用、過程控制工程、過程系統工程和機器學習等,同時長期從事煉油化工過程軟測量儀表與先進控制、過程流程模擬與實時優化等技術開發與工程應用工作。


大发888娱乐城客户端下载| 88百家乐现金网| 盖州市| 哪家百家乐最好| 博彩网| 百家乐游戏合法吗| 维多利亚娱乐城| 百家乐官网游乐园| 六合彩下注| 上海百家乐赌博| 百家乐官网在线怎么玩| 大发888分享| 信誉百家乐官网博彩网| 大发888客户端官方下载| 百家乐桌布小| 真钱斗地主| 百家乐平台凯发| 百家乐官网正反投注| 百乐坊娱乐场| 百家乐积分| 网上百家乐官网有人赢过吗| 胜负彩| 南京百家乐的玩法技巧和规则| 嘉兴市| 博彩机| 大发888存款方式| 棋牌百家乐官网有稳赚的方法吗| 百家乐官网概率统计| 宜君县| 一路发娱乐场| 百家乐3宜3忌| 大发888娱乐城官方下载| 蓝盾百家乐赌场| 澳门百家乐官网路子分析| 百家乐官网的路单怎样看| 百家乐官网赌王有哪些| 葵青区| 兴国县| 皇冠最新投注网| 威尼斯人娱乐城游戏lm0| 金沙百家乐的玩法技巧和规则 |