澳门银河赌场注册送38-澳门银河赌场招人好招吗_百家乐德州_全讯网下载 (中国)·官方网站

您所在的位置:首頁 - 科學研究 - 科研動態

科研動態

基于FCE-SPH的海上溢油擴散模擬方法

論文題目:基于FCE-SPH的海上溢油擴散模擬方法

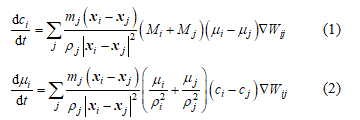
錄用期刊:計算機輔助設計與圖形學學報 (CCF A)

錄用時間:2024.2.21

作者列表

1 連遠鋒 中國石油大學(北京)信息科學與工程學院/人工智能學院 計算機系教師

2 高浛釗 中國石油大學(北京)信息科學與工程學院/人工智能學院 計算機技術專業 碩21

3) 魏昊天 中國石油大學(北京)安全與海洋工程學院 博士研究生

3) 紀連恩 中國石油大學(北京)信息科學與工程學院/人工智能學院 計算機系教師

4) 董紹華 中國石油大學(北京)安全與海洋工程學院 安全工程系教師

摘要:

針對現有的海面原油泄漏模擬方法無法呈現符合物理過程的溢油風化擴散效果及模擬速度過慢問題,首先給出一種不混溶Cahn-Hilliard兩相流乳化光滑粒子流體動力學擴散模擬方法FCE-SPH,結合脈動風場描述海上溢油的混合和乳化分解過程;然后設計一個兩相流物理感知深度強化學習偏置圖注意力網絡OTF-DRL,以加速流體模擬仿真,通過異構偏置圖注意力模塊,增強網絡獲取粒子特征的表達能力。在不同的工況條件下,分別對原油在海上泄漏擴散物理過程和油品風化過程進行分析,實驗結果表明,所提方法可以真實反映海上溢油擴散現象,OTF-DRL模擬計算時間縮短49.63%。

背景與動機:

海面原油泄漏事故多相流模擬在工程論證、裝置設計、災害防控等領域有重要研究意義。海洋中泄漏的原油經過擴散、蒸發和乳化等過程會導致流體黏度發生變化,進而影響溢油漂移軌跡?;诠饣W恿黧w動力學的海上溢油多相流模擬方法未考慮原油在海浪、風力的推動下漂移擴散及發生乳化等反應,無法呈現滿足物理過程流體運動的真實場景,且模擬算法時間復雜度較高。近年來,深度學習方法被應用于流體模擬中,雖然其可提高求解效率,但如何將序貫決策策略引入多相流模擬仍是亟待解決的難題。

設計與實現:

本文提出一種脈動風場Cahn-Hilliard乳化SPH方法(fluctuating wind field Cahn-Hilliard emulsion smoothed particle hydrodynamics, FCE-SPH),結合脈動風場描述海上溢油的混合和乳化分解過程。針對模擬效率不高的問題,設計了兩相流物理感知深度強化學習偏置圖注意力網絡,以加速流體模擬仿真,通過異構偏置圖注意力模塊,增強網絡獲取粒子特征的表達能力。

主要內容:

溢油兩相流FCE-SPH建模

基于海面溢油擴散物理過程,本文提出結合隨機脈動風場的Cahn-Hilliard兩相流乳化光滑粒子動力學模型FCE-SPH。首先在SPH框架中引入Cahn-Hilliard相分離模型,然后在相分離模型基礎上構建油水乳狀液形成模型,最后結合隨機脈動風場方法和表面粒子分類器實現海上風場模擬。


1. 基于Cahn-Hilliard方法的相分離機制

Cahn等提出了基于統計熱力學描述相分離過程的Cahn-Hilliard方程,已在多相流研究中得到了廣泛應用。本文將Cahn-Hillard方程與海面原油泄漏擴散模擬結合,得到離散化可以得到粒子的相分離方程為:

圖片.png

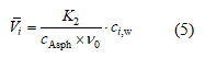
其中,為粒子的濃度且值域為[?1,1];為粒子質量;是粒子的位置;為支撐半徑為的核函數;為濃度;μ為化學勢;為流動系數;ρ為粒子密度。



1 Cahn-Hilliard油水兩相流相分離模型

2. 乳化物生成模型

海面溢油污染通常包括擴散過程和風化過程,風化過程中乳化階段產生的油水乳化物的流變性會發生變化,隨著時間的推移直接影響其擴散過程。如圖2所示,將Rasmussen模型中乳化反應視為平衡反應,即

圖片.png





2 油水乳狀液形成模型


是乳化物粒子最大含水量,當時,正向反應的概率為

圖片.png

其中,為與溫度相關的正向反應系數;v0為黏度系數;是非壓力項合力(如風場拖曳力等)。當時,乳化物分解為油和水的概率為

圖片.png

其中,是逆向反應系數,與原油中瀝青等活性劑含量相關;是瀝青百分比。


3. 隨機脈動風場模型

結合拖曳力模擬空氣對基于粒子的流體影響,在氣液耦合方面產生了很好的效果。本文利用鄰域粒子質量分類器判斷表面粒子集,并結合隨機脈動風場模型對粒子施加拖曳力以模擬風場作用。設表面粒子分類器的鄰域粒子質量特征為,鄰域粒子數量特征為,則有


圖片.png

其中,是粒子的位置;是鄰域粒子數量;是分類器輸出結果?;?/span>Perlin噪聲,使用時間作為隨機數種子產生偽隨機序列

圖片.png

其中,表示粒子受到的風場拖曳力;為噪聲振幅。


OTF-DRL網絡

如圖3所示,FCE-SPH算法中多相流約束模型增加了算法的時間復雜度,為此本文提出了OTF-DRL網絡,用于加速模擬不混溶兩相流.


3 OTF-DRL模型結構圖

在兩相流模擬過程中,粒子濃度與鄰域粒子頻繁交換變化,為了描述不同濃度粒子擴散規律,基于節點濃度的差異構建異構圖,設計了基于偏置注意力的異構圖注意力網絡,通過計算粒子與鄰域粒子之間的注意力系數,達到特征提取目的。

實驗結果及分析:



4 6種算法模擬結果對比


4給出了6種算法的海上溢油模擬結果,假設海上風場方向為逆溢油方向,風速設置為15 m/s??梢钥闯?,PBF算法存在粒子發散現象,第150幀至第350幀油粒子分散較為明顯,泄漏體邊緣不夠光滑;DFSPH算法雖沒有出現粒子發散現象,但原油溢出后第250幀產生粒子堆積現象,溢油邊緣沒有體現油水兩相流耦合效果;Multiphase SPH較好地處理了兩相流的交互運動效果,泄漏體邊緣呈流線型,并且由于溢油噴射具有初速度,泄漏體兩側呈漩渦狀分布;ICSPH泄漏體邊緣不光滑且有分散的油粒子,溢油內部出現不穩定現象并產生空腔,如表1所示,由于FCE-SPH算法融入相分離、乳化和隨機脈動風場模型,因此不同程度地增加了原油泄漏擴散模擬時間。


1 6種算法海上溢油模擬用時對比

結論:

本文提出了一種結合FCE-SPH的海上溢油擴散轉化模擬方法?;趦上嗔飨喾蛛xCahn-Hilliard方法和Rasmussen乳化模型建立SPH乳狀液形成模型,利用隨機脈動風場模型對海面粒子施加拖曳力模擬原油的海上風場效果。為了加速模擬求解,設計了一種基于偏置異構圖注意力的強化學習網絡OTF-DRL。實驗表明,本文方法可以呈現豐富逼真的海上溢油漂移轉化過程,并且求解過程高效。本文模擬海上原油泄漏漂移轉化的過程中未考慮蒸發和降解等過程的影響。未來將進一步探索溢油過程中的動力學模型,實現更真實的模擬效果。

作者簡介:

連遠鋒,教授,碩士生導師。研究方向為圖像處理與虛擬現實、機器視覺與機器人、深度學習與數字孿生。

百家乐官网真人荷官网| 巴西百家乐的玩法技巧和规则| 百家乐从哪而来| 墨尔本百家乐官网的玩法技巧和规则 | 百家乐官网怎么下注能赢| 澳门百家乐赌场娱乐网规则| 百家乐官网赌博代理| 博e百娱乐城注册| 圣安娜百家乐代理| 百家乐官网平注法到| 莎车县| 如何打百家乐官网的玩法技巧和规则 | 香港六合彩马会| tt百家乐的玩法技巧和规则| 太阳百家乐官网网址| 百家乐官网二号博彩正网| 大发888游戏平台| 希尔顿百家乐娱乐城| 方山县| 百家乐投注网| 波克棋牌游戏大厅下载| 太阳百家乐开户| 太阳城百家乐主页| 百家乐官网娱乐平台会员注册| 百家乐官网投注方法多不多| 百家乐官网技术秘籍| 稳赢至尊| 波克棋牌游戏大厅下载| 大发888博狗博彩| 百家乐牌壳| 澳门百家乐技术| 鼠和猴做生意招财| 百家乐官网出千的方法| 澳门百家乐官网备用网址| 菲律宾云顶国际| 威尼斯人娱乐代理注册| 缅甸百家乐龙虎斗| 百家乐赌博机原理| 风水24个向的意思| 百家乐官网的玩法和技巧| 霍邱县|