澳门银河赌场注册送38-澳门银河赌场招人好招吗_百家乐德州_全讯网下载 (中国)·官方网站

您所在的位置:首頁 - 科學研究 - 科研動態

科研動態

MSH:一種用于非線性直流仿真的高阻節點感知的多階段同倫方法

中文題目MSH:一種用于非線性直流仿真的高阻節點感知的多階段同倫方法

論文題目MSH: A Multi-Stage HiZ-Aware Homotopy Framework for Nonlinear DC Analysis

錄用期刊/會議2024 Design, Automation and Test in Europe Conference (DATE) (CCF-B類會議)

原文鏈接:https://ieeexplore.ieee.org/document/10546783

錄用/見刊時間:2024-3-25

作者列表

1)金   洲 中國石油大學(北京)人工智能學院 計算機系教師

2)馮   田 成都華大九天科技有限公司

3吳   梟 北京華大九天科技股份有限公司

4)牛    東南大學 自動化學院

5)周振亞 北京華大九天科技股份有限公司

6)卓   成 浙江大學 信息科學與電子工程學院

 

背景與動機:

非線性直流分析是晶體管級電路仿真中最重要的任務之一。同倫法在改善牛頓-拉夫遜(NR)方法的收斂性問題方面取得了巨大成功。然而,在某些高阻(HiZ)節點處嵌入同倫參數可能會導致該類節點在同倫參數達到1時的節點電壓遠離真實的直流解,即使理論上此刻的電路應該等價于原始電路,從而導致在最終的NR驗證階段出現新的收斂失敗問題。在本文中,我們提出了一種HiZ節點感知的多階段同倫框架MSH,使HiZ節點和其他節點能夠分別進行多階段延拓,以增強仿真的收斂性。

設計與實現:

(1)特定 HiZ 節點引起的 DC 收斂失敗現象

圖1:同倫算法中由特定 HiZ 節點引起的 DC 收斂失敗示意圖

如圖所示,當節點 n1~n3 呈高阻態時,晶體管M1和M2可以等效為兩個無窮大的電阻。此時,節點 n1~n3的電壓由RM2 與(RM1+RM2)的比值所決定,如圖1(b),在該電路中,經計算可以得到 v1 = v2 = v3 ≈ 3.73 V。當使用同倫法對上述電路進行求解時,如圖1(c)所示,節點 n1~n3的電壓由1/Gmin與(1/Gmin+RM1)的比值所決定,由于 RM1(>>1e12 Ω)通常遠遠大于 1/Gmin(≈1e12 Ω),所以此刻有 v1 = v2 = v3 ≈ 0 V,這將會導致最終 NR 驗證的失敗。

(2)多階段同倫框架

l多階段-多參數同倫框架

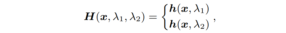
該框架的同倫函數如下:

 

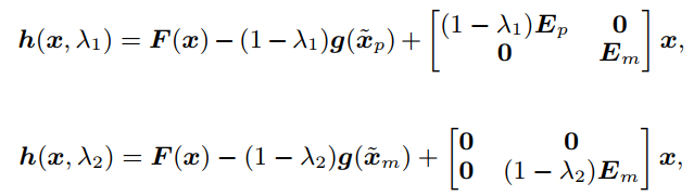
其中,b9618a173ffff543bf7cdbb5c5ab1aa.jpg 為第一階段的延拓方程,主要求解所有HiZ節點使其達到穩定狀態。05c2363016bb1a65a501b002fd5a4b3.jpg為第二階段的延拓方程,主要求解所有非HiZ節點。

lMOS可變增益同倫方程

為了進一步提升所提出的多參數-兩階段同倫算法在仿真MOS 電路時的效率,本文提出了一種 MOS 電流增益同倫方程(MCGH),以使得其解曲線更加平滑,從而實現快速 DC 仿真。如下公式所示,我們給MOS晶體管的漏源電流ids乘以了同倫參數λ,λ從0~1逐漸變化,以實現增益電流的連續變化。

 

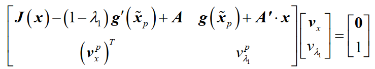
l弧長法追蹤解曲線

同時,為了更好地保證收斂性,我們采取了弧長法對同倫方程的解曲線進行追蹤。該方法主要分為預測和校正兩個階段。其預測階段的需要求解的方程如下:

 

校正階段的需要求解的方程如下:

 

(3)HiZ節點的定位

本研究引入了一種簡單而有效的技術來識別這類具有 DC 路徑的 HiZ 節點。首先使用普通的 DC 算法對電路進行 DC 仿真。如果當右端項 RHS 足夠接近 0 時出現了不收斂情況,首先檢查每個不收斂節點的電流。如果節點電流小于給定閾值,則將該節點標記為 HiZ 節點。這樣,該算法就可以在不引入額外開銷的情況下,精確地定位具有 DC 路徑的 HiZ 節點。

實驗結果及分析:

(1)消除HiZ不收斂問題的有效性

圖2:(a)兩種方法下HiZ節點的解曲線;(b) λ2非常接近1時的局部放大圖

本文對一個工業 CMOS 電路進行了測試,該電路由 69334 個器件(包括 715 個 MOS 晶體管)組成,其具有16個HiZ節點。由圖可知,SOTA同倫可以成功收斂,但在最終NR驗證階段不能收斂。MSH框架收斂成功。

(2)MOS可變增益同倫的收斂性

圖3:兩種同倫方法下MOSFET漏極節點的解曲線

由圖可知,對于SOTA同倫,由于電流增益的強非線性,當λ達到0.96左右時,解曲線出現不連續。而本文所提出的MCGH可以收斂,并且λ最終迭代到1。此外,可以發現當λ在0~0.999之間時,我們方法的解曲線非常光滑,λ = 1附近的波動主要是由于我們引入的線性輔助算子所導致的。

(3)加速效率

最后,基于本文所提出的 MSH 框架帶來的收斂性提升,我們進一步評估了MCGH函數相比于SOTA同倫函數的加速效率。結果顯示,基于MCGH函數的多階段同倫框架相較于基于SOTA同倫函數的多階段同倫框架大約平均加速了1.7倍。

結論:

本文提出了一種多參數同倫框架,可實現多階段延拓,以解決非線性直流分析中特定HiZ節點引起的DC收斂失敗問題。該框架采用全新的同倫函數實現快速延拓,采用弧長法對解曲線進行跟蹤,保證了其收斂性。本文通過工業界大規模電路證明了我們框架的有效性,并且該框架相較于比SOTA不動點同倫實現了1.7倍的平均加速比。

通訊作者簡介:

金洲,中國石油大學(北京)計算機系副教授,入選北京市科協青年人才托舉工程、校青年拔尖人才。主要從事集成電路設計自動化(EDA)、面向科學計算的DSA軟硬件協同設計等方面的研究工作。主持并參與國家自然科學基金青年項目、重點項目,科技部重點研發微納電子專項、高性能計算專項青年科學家項目,國家重點實驗室開放課題、企業橫向課題等。在DAC、TCAD、TODAES、SC、PPoPP、IPDPS、TCAS-II、ASP-DAC等重要國際會議和期刊上發表60余篇高水平學術論文。獲EDA2青年科技獎、SC23最佳論文獎、ISEDA23榮譽論文獎、IEEJ九州支部長獎等。

聯系方式:jinzhou@cup.edu.cn


百家乐百家乐群| 玩网上百家乐的技巧| 百家乐官网定位膽技巧| 水晶百家乐筹码| 有百家乐官网的棋牌游戏| 大发888下载失败| 宾利百家乐现金网| 星空棋牌下载| 网上百家乐庄家有赌场优势吗| 漳浦县| 真人百家乐蓝盾娱乐平台| 百家乐官网api| 360棋牌大厅| 骰子百家乐的玩法技巧和规则| 巨星百家乐官网的玩法技巧和规则 | 百家乐游戏源码手机| 百家乐官网双龙出海| 皇冠足球網| 威尼斯人娱乐城求助| 做生意风水方向怎么看| 大地娱乐城| 全讯网qx1860| 百家乐技术论坛| 百家乐官网变牌桌| 注册送现金真人棋牌| 大发888网页在线游戏| 澳门百家乐网上| 百家乐官网德州扑克发牌盒| 大富豪百家乐| 博彩生物| 水果机下载| 百家乐赌博技巧网| 五张百家乐官网的玩法技巧和规则| 百家乐官网怎样投注好| 立博博彩| 哪里有百家乐游戏下载| 澳门百家乐皇冠网| 百家乐官网专业术语| 百家乐官网网址皇冠现金网| 澳门百家乐官网门路| 百家乐官网千术道具|