中文題目:油頁巖激光誘導電響應原理及應用
論文題目:Laser-induced electro-response of oil shale: Principles and applications
錄用期刊/會議:Chemical Engineering Journal (中科院SCI 1區, JCR Q1, TOP)
原文DOI:https://doi.org/10.1016/j.cej.2024.152279
作者列表:
1) 劉學聰 中國石油大學(北京)信息科學與工程學院/人工智能學院 控制科學與工程 博22
2) 焦鈺淇 中國石油大學(北京)新能源與材料學院 材料科學與工程 碩23
3) 洪爭春 中國石油大學(北京)新能源與材料學院 材料科學與工程 碩23
4) 彭 雪 中國石油大學(北京)新能源與材料學院 材料科學與工程 碩19
5) 呂志清 中國石油大學(北京)理學院 實驗中心 工程師
6) 趙 昆 中國石油大學(北京)新能源與材料學院 材料科學與工程系教師
7) 苗昕揚 中國石油大學(北京)新能源與材料學院 材料科學與工程系教師
摘要:
本文介紹了一種激光誘導電響應(LIER)方法,基于激光等離子體和光電效應,建立了脈沖激光輻照下油頁巖測量的等效電路模型,激光誘導的熱效應是連續激光輻照下產生LIER的主要原因。利用LIER實現了油頁巖含油率的非熱解表征以及燃燒和熱解多級過程的實時監測,有助于推動油頁巖勘探的發展。
背景與動機:
在油頁巖轉化工程中,存在著檢測環境嚴苛、能源消耗等問題。我們提出了激光誘導電響應(LIER)方法,為油頁巖的表征評價提供了一種全新的解決方案。
設計與實現:
如圖1所示,油頁巖LIER測試系統由激光器(脈沖或穩態)、分光鏡、光闌、示波器、數字源表、加熱器、溫度監測、熱紅外成像儀、激光能量探測器等模塊組成。

圖1(a)紫外脈沖激光輻照、(b)穩態激光輻照、(c)燃燒或熱解過程的油頁巖LIER測試分析系統。
實驗結果及分析:
脈沖激光輻照下的LIER響應機理
高能脈沖激光輻照在油頁巖表面產生的激光誘導等離子體(LIP)會在自身濃度、溫度梯度和外部電場下運動(圖2),在外部電路可檢測到圖3所示的電信號。

圖2 激光誘導油頁巖等離子體的動力學演化過程示意圖

圖3 脈沖激光照射下的LIER響應波形
油頁巖中的干酪根、礦物、孔隙和裂紋,可以用電感器(Ls)、電阻(Rs)和寄生電容(Cs)表示。在LIP影響下,樣品上方形成放電通道,可等效為時變電阻Rp和時變電感Cp串聯,如圖4所示。

圖4 脈沖激光照射前后LIER測量的等效電路
穩態激光輻照下油頁巖的LIER響應機理
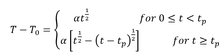
穩態激光輻照會導致油頁巖表面溫度升高,將油頁巖看作理想的半無限傳導介質,引入熱學參數矯正因子a,建立了油頁巖表面溫度T的演變方程為:

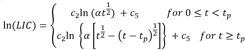
基于LIER響應與表面溫度的依賴關系,可建立穩態激光輻照下LIER的時間演化模型:

油頁巖含油率非熱解直接表征
如圖5所示,LIER響應峰值與油頁巖含油率之間呈正相關關系。與熱重和低溫蒸餾等標準方法不同,LIER最重要的優點是無需熱解過程即可直接檢測油頁巖含油率。

圖5 LIER信號峰值(Amp)與油頁巖含油率的關系
油頁巖熱解過程監測
如圖6所示,利用LIER響應,可將油頁巖的整個燃燒或熱解過程分為七個階段:I(室溫–100°C)和II(100°C–200°C)為油頁巖中自由水和結合水的蒸發階段;III(200°C–360°C)主要涉及羧基、羰基官能團的分解和有機物中弱共價鍵的斷裂;IV(360°C–460°C)以干酪根分解為主,并具有熱解氣的顯著增加;在階段V(460 °C–560 °C),除了天然氣的損失外,石油和天然氣產量和半焦含量趨于穩定;VI(560°C–660°C)和VII(660°C–780°C)主要為無機礦物的熱解階段。

圖6 油頁巖在空氣中燃燒和氮氣中熱解的LIER響應
結論:
激光誘導電響應(LIER)方法為解決油頁巖轉化工程中的挑戰提供了新思路。通過LIER技術,能夠更快速地評估含油率,實現對有機質和礦物分解的實時監測,為油頁巖的勘探開發提供了重要支持。
通訊作者簡介:
趙昆,教授,控制科學與工程學科博士生導師,研究方向為油氣光學探測技術與智能制造。