中文題目:基于衰減激勵的篩選信息數據的化工過程建模
論文題目:Chemical process modelling using the extracted informative data sets based on attenuating excitation inputs
錄用期刊/會議:【Journal of the Taiwan Institute of Chemical Engineers】 (JCR Q1)
原文DOI:https://doi.org/10.1016/j.jtice.2023.104872
原文鏈接:https://www.sciencedirect.com/science/article/pii/S1876107023002018
錄用/見刊時間:2023年6月
作者列表:
1) 袁力坤 中國石油大學(北京)信息科學與工程學院/人工智能學院 博17
2) 徐寶昌 中國石油大學(北京)信息科學與工程學院/人工智能學院 自動化系副教授
3) 梁志珊 中國石油大學(北京)信息科學與工程學院/人工智能學院 自動化系教授
4) 王雅欣 中國石油大學(北京)信息科學與工程學院/人工智能學院 博19
背景與動機:
快速發展的先進化學工藝的操作設計需要適當的模型和這些模型的參數識別需要高信息含量的輸入輸出數據集。最佳參數識別實驗需要額外的持續激勵輸入來激勵化學過程用于信息豐富的數據集,確保過程的動態信息。然而,最優識別持續刺激輸入的實驗是一項耗時、高成本的任務,可能會干擾過程操作。由于低成本識別的要求,這些實驗無法應用,因此,研究有限的外部激勵或從歷史數據中提取的信息片段支持化學過程建模的問題顯得尤為重要。
設計與實現:
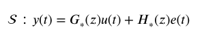
1.模型描述
考慮如下真實模型

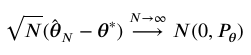
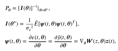
考慮誤差的平方和函數可得模型參數為

模型參數的誤差服從高斯分布即

推導分析可得

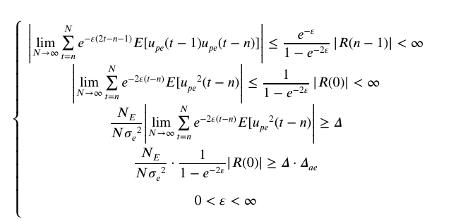
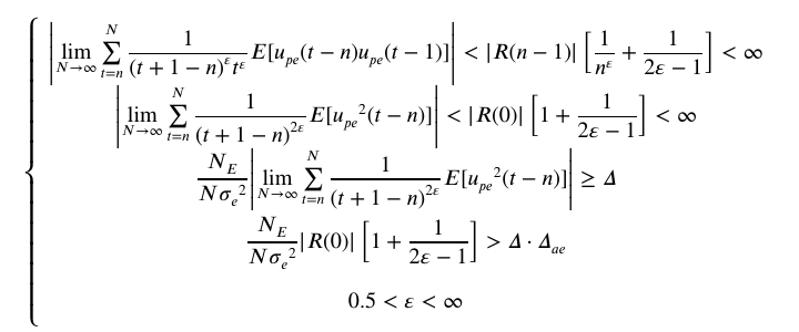
2.衰減激勵
考慮衰減激勵
,由如下公式

計算可得相應衰減系數合理的取值范圍。
考慮衰減激勵
,由如下公式

計算可得相應衰減系數合理的取值范圍。
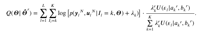
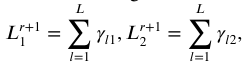
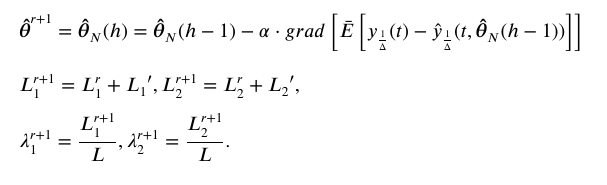
3. 逐步期望最大化法
利用如下公式實現信息數據的篩選和模型參數的估計。
SWEM-E步:

SWEM-M步:



SWEM-EX步:

實驗結果及分析:
考慮一個典型的單入單出線性二階ARX系統,可如下式表示

可得其相應的線性回歸方程可寫為

取衰減系數
設計600組相互獨立的數據集進行仿真實驗,分析比較EM法、EXM法和SWEM法的性能,不同算法的計算時長和信息數據篩選精度下所示。SWEM法證明了計算得到的理論上
的合理性,反映出SWEM法在信息數據篩選和線性模型參數估計上的可靠性和有效性。


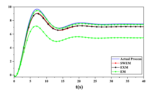
得到的模型階躍響應如下所示:

從上述結果可以看出,EXM法可以獲得準確的信息數據篩選結果和所需精度的過程模型,但是計算時間較長;EM法計算時間較短,但是信息數據篩選結果不穩定,導致不合理的過程模型或信息浪費。只有嚴格合理地選擇初值,才能避免上述情況。SWEM法融合了上述兩種方法的特點,并克服上述缺點,降低了計算時間和初值選擇要求,獲得了準確的信息數據篩選結果和所需精度的過程模型。
結論:
本文在信息數據和衰減激勵的基礎上,提出了保證實驗非信息性的測試數據標準,并對選定的衰減激勵形式進行了實例分析,結果表明,在合理的衰減指標下,可以保證實驗的非信息性,以保證所需的模型精度。本標準可用于在允許有限外部激勵的情況下以最低成本進行測試輸入設計,也可用于隔離歷史數據。與現有的信息數據需求和工業歷史數據策略相比,它可以將歷史數據分析擴展為一種新的工業建模策略,還可以提高數據利用率,減少過程信息的損失,這對工業建模的低成本具有重要意義。同時,提出了一種SWEM方法,并仿真驗證了其海量數據集分類的優點。該方法還用于驗證理論衰減激勵設計,實現了快速的信息片段提取和所需的精確過程模型。
通訊作者簡介:
徐寶昌,副教授,博士生導師,長期從事復雜系統的建模與先進控制;鉆井過程自動控制技術;井下信號的測量與處理;多傳感器信息融合與軟測量技術等方面的研究工作。現為中國石油學會會員,中國化工學會信息技術應用專業委員會委員。曾參與多項國家級、省部級科研課題的科研工作,并在國內外核心刊物發表了論文60余篇;其中被SCI、EI、ISTP收錄20余篇。