中文題目:基于快速智能優化和UniSim/EPKS環境的控制回路SP動態優化
論文題目:Dynamic optimization for SP of control loops based on both rapid intelligent optimization and UniSim/EPKS environments
錄用期刊/會議:2024 IEEE 13th Data Driven Control and Learning Systems Conference(CAA-A類)
錄用/見刊時間: 2024.03.25
作者列表:
1)張合輝 中國石油大學(北京)人工智能學院 控制科學與工程專業 碩22級
2)王 珠 中國石油大學(北京)人工智能學院 自動化系教師
3)王少賢 中國石油大學(北京)人工智能學院 控制工程專業 碩21級
摘要:
為了解決先進控制中的模型失配問題,本文提出了一種基于預測模型在線重構的動態軌跡快速智能優化方法。首先通過可靠辨識建立系統模型,然后利用系統模型的閉環階躍響應更新預測模型,同時自適應更新約束條件。為了快速求解優化目標,本文采用改進的GA-PSO算法計算控制回路的SP軌跡。最終實現了預測模型的自適應更新和控制回路SP的動態優化,從而保證了先進控制方案的長期有效性。
背景與動機:
在工業過程的長期運行中,諸如操作條件的變化和外部環境的變化等因素可能導致先進控制中預測模型與實際系統之間存在差異。當實際系統發生變化而模型沒有及時更新時,模型失配就會經常發生。對于依靠模型的控制方法,及時更新模型是非常重要的。針對這個問題,本文提出了一種基于預測模型在線重構的回路動態參考軌跡優化方案。
設計與實現:
首先,通過采用高階線性時變模型作為辨識模型,并利用可靠的遞歸辨識算法來跟蹤的時變參數。
當控制回路的工況發生變化時,及時對新的系統模型進行數字測試,獲得新的預測模型:
然后根據新的預測模型進行反饋矯正、滾動優化求解性能指標不斷求解下一時刻的SP值,從而實現了控制回路SP的動態優化。
主要內容:
1.預測模型在線重構
本文通過構建系統模型,進行閉環模擬階躍響應測試,得到階躍響應序列。這就可以實現在線更新動態矩陣,進而實現預測模型的在線更新。在實際現場期望值
位于不同的區間時,即工藝負荷處于不同范圍時,每秒的SP增量有不同的要求。為了保證先控方案的長期有效性,在優化過程中SP軌跡增量
限值需要根據工況進行更新。同時參考軌跡
的約束限也需要根據當前實際輸出
和期望值
的變化實時更新。
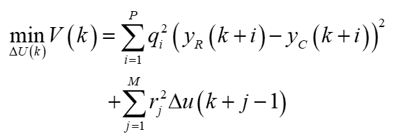
2.性能指標的高效求解
為了實現SP的快速智能優化,本文采用改進的GA-PSO算法求解性能指標。此外,本文還在粒子群初始化時引入“精英種群”,加快搜索速度。利用GA算法將精英粒子與普通粒子進行交叉,加快粒子向最優解方向搜索。利用GA算法的變異步驟,保證粒子種群的多樣性。這樣可以擴大粒子群的搜索范圍,還可以跳出局部最優解。算法的流程圖如圖1所示。

圖1 GA-PSO算法流程圖
實驗結果及分析:
本文的實驗驗證采用了Honeywell 的UniSim Design模擬平臺與EPKS DCS控制系統相結合的方式。UniSim Design模擬平臺搭建了500萬噸/年常減壓裝置,使仿真接近實際現場的操作條件。整體優化過程如圖2所示。

圖2 在線優化流程圖
通過上述設計方案,本文對工業DCS控制系統中常減壓裝置的一條流量回路和一條壓力回路進行了仿真。仿真結果如圖3所示。仿真結果驗證了在線重構預測模型的有效性以及設計方案的可行性。


圖3 輸出曲線與優化SP參考曲線
結論:
工業過程控制中工況改變會導致MPM,使以模型為基礎的控制方法的控制效果變差。針對模型失配問題,本文提出了一種基于預測模型在線重構的動態參考軌跡優化方法。使用可靠的遞推辨識實時跟隨系統的變化。然后定期通過數字測試自適應更新預測模型。實時辨識和自適應技術確保了先進控制對不同工況的自適應。本文采用改進的GA-PSO算法高效求解性能指標,實現了SP高效動態優化。最后實驗結果驗證了在線重構預測模型的有效性和動態參考軌跡優化的可行性。
通訊作者簡介:
王珠,男,博士,中共黨員,現任中國石油大學(北京)副教授、碩士生導師。2016年至今在中國石油大學(北京)自動化系工作,現任北京人工智能學會理事、中國化工學會信息技術應用專業委員會青年委員。
長期從事系統辨識與智能控制;煉化過程異常診斷與故障預警;大數據工藝優化與質量預測;基于深度學習的時間序列預測等方面研究工作,以第一作者或通訊作者身份發表高水平學術期刊論文20余篇。主持國家自然科學基金項目及多個重點流程工業企業的橫向項目。