中文題目:海洋立管反沖的魯棒方差控制
錄用期刊/會議:CPCC 2024(CAA-A類)
作者列表:
1) 孫世龍 中國石油大學(北京)人工智能學院 碩22級
2)譚文濤 中國石油大學(北京)人工智能學院 碩22級
3)岳元龍 中國石油大學(北京)人工智能學院 自動化系教師
摘要:
本文提出了一種魯棒方差控制器,用于應對深水鉆井隔水立管系統在緊急情況下,由于立管下部與防噴器組緊急解脫所產生的立管反沖現象。針對建模過程中由于參數誤差和張緊器安裝傾角變化引起的不可避免的模型不確定性,本文構建了增量式立管反沖狀態空間模型,并通過極點配置和方差約束的控制方法實現了閉環系統的動態和穩態性能控制。仿真結果表明,該控制器能夠有效抑制立管反沖現象,改善系統的動態和穩態響應,減少滑動接頭和立管組件的損壞風險。
背景與動機:
深水鉆井隔水立管系統連接著鉆井平臺與海底設備,在極端海況或設備故障等情況下,立管需要緊急脫離防噴器組。此時立管的彈性勢能迅速釋放,引發立管反沖,若不加以有效控制,可能導致嚴重的安全事故。立管反沖控制問題在國內外受到了廣泛關注,但現有研究大多基于連續時間模型,且未充分考慮參數不確定性對立管反沖控制的影響。因此,為解決現有問題,本文提出了一種離散魯棒控制方法,以提高系統的穩定性與魯棒性。
設計與實現:
首先,在質量塊-彈簧-阻尼模型種種考慮張緊器安裝傾角變化和參數誤差引起的模型不確定性,并建立了增量式立管反沖的狀態空間模型。
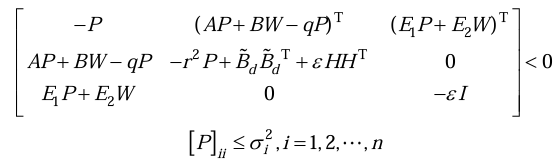
隨后,使用極點配置技術將閉環系統的極點約束在復平面的指定區域D(q,r)內,以獲得理想的動態響應。同時,基于方差約束理論,通過求解線性矩陣不等式(LMI)獲得閉環系統的狀態反饋增益,從而實現穩態方差的約束,確保系統的穩態性能符合要求。所設計的LMI如下所示
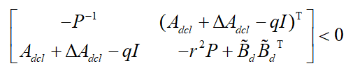
若想獲得控制力最小的控制律,即最小化J(U),設計LMI求解獲得最小能量魯棒方差控制器
所設計的LMI如下所示
實驗結果及分析:
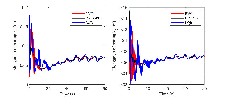
為了驗證所提出方法的有效性,本文基于中國南海某鉆臺平臺的實際工程數據進行仿真分析。實驗比較了魯棒方差控制器(RVC)與離散LQR控制器及DRHGPC控制器在不同海況下的性能。結果顯示,在正常和極端海況下,RVC能夠更加快速地抑制立管反沖的位移,無明顯超調現象,并且在穩態時的振幅更小。相比其他方法,RVC在動態和穩態性能方面展現了更優異的表現,同時能量消耗較少。此外,RVC在處理系統不確定性方面具有顯著的魯棒性,在不確定性達到10%或20%時,仍能維持較好的動態和穩態響應。

圖1 RVC與DRHGPC、LQR控制下的立管反沖的位移與速度
圖2 RVC與DRHGPC、LQR控制下的立管反沖的控制力U

圖3 不同程度參數不確定情況下質量塊一RVC、DRHGPC與LQR控制效果對比
圖4 等效彈簧形變對比
結論:
本文提出了一種針對深水鉆井隔水立管反沖的魯棒方差控制方法。通過考慮張緊器安裝傾角和參數誤差導致的模型不確定性,設計了增量式狀態空間模型,并通過極點配置與方差約束控制閉環系統的動態和穩態性能。仿真結果表明,該方法能夠顯著改善立管反沖控制的動態與穩態性能,減少能量消耗,具有較強的魯棒性。該方法不僅能夠有效防止滑動接頭和立管組件的損壞,還能在極端海況下保持良好的控制效果,為深水鉆井隔水立管反沖控制提供了一種有效的解決方案。
通訊作者簡介:
岳元龍,高級工程師。博士,中國石油大學(北京)人工智能學院自動化系高級工程師,從事深海油氣水下控制系統關鍵技術研究、數據融合和嵌入式硬件開發。
聯系方式:yueyuanlong232@126.com