澳门银河赌场注册送38-澳门银河赌场招人好招吗_百家乐德州_全讯网下载 (中国)·官方网站

您所在的位置:首頁 - 科學研究 - 科研動態

科研動態

一種用于多次波壓制的高效保幅頻變Radon變換方法

中文題目:一種用于多次波壓制的高效保幅頻變Radon變換方法

論文題目:An Efficient Amplitude-Preserving Radon Transform with frequency-Dependent Curvature for Multiple Attenuation

錄用期刊/會議:IEEE Transactions on Geoscience and Remote Sensing (JCR Q1)

原文DOI10.1109/TGRS.2024.3357457

原文鏈接:https://ieeexplore.ieee.org/abstract/document/10411986

錄用/見刊時間:2024122

作者列表

1)馮璐瑜 中國石油大學(北京) 信息科學與工程學院/人工智能學院 博20

2)薛亞茹 中國石油大學(北京) 信息科學與工程學院/人工智能學院 電子系教師

3)陳   沖 中國石油大學(北京) 信息科學與工程學院/人工智能學院 電子系教師

4)蘇軍利 中國石油大學(北京) 信息科學與工程學院/人工智能學院 研21

5)張   程 中國石油大學(北京) 信息科學與工程學院/人工智能學院 研21

摘要:

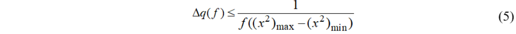
拋物Radon變換(PRT)是常用的多次波壓制方法之一。通常其曲率范圍和間隔按照最高頻率的采樣標準設置,導致低頻數據丟失,造成多次波估計不足。為此,本文基于FK譜推導曲率參數設置,得出曲率范圍和間隔應與頻率成反比。進一步為方便高精度濾波,在一次波和多次波混疊區域仍按照最高頻率標準設置采樣間隔, 由此提出具有頻變曲率范圍和采樣間隔的PRT(FDCR/CSI PRT)。和已有方法進行多次波壓制實驗對比,證明了該方法的可行性和有效性。

背景與動機:

地震波在地下多次反射后形成多次波,這些多次波降低地震資料信噪比,嚴重影響了地震資料的分辨率,因此多次波壓制是地震數據處理中的關鍵步驟。如今,地震勘探技術已向寬頻勘探技術發展,采集到的寬頻帶數據能夠顯著提高分辨率和成像質量,特別是低頻數據對深層地質解釋有著重要作用。所以,有必要關注多次波壓制中低頻段處理效果。

PRT是常用的多次波壓制方法之一,可以在頻域中高效實現。但其存在保幅性能不佳、多次波估計不足等問題,且頻率越低,該問題越嚴重。這是因為其曲率范圍和間隔通常按照最高頻率的采樣標準設置,未曾考慮曲率參數和數據頻率的關系。導致低頻段曲率范圍遠低于理論范圍、波數帶寬隨著頻率的降低而變窄,造成低頻振幅損失。因此,分析曲率參數設置以提升PRT的保幅效果具有重要意義。

設計與實現:

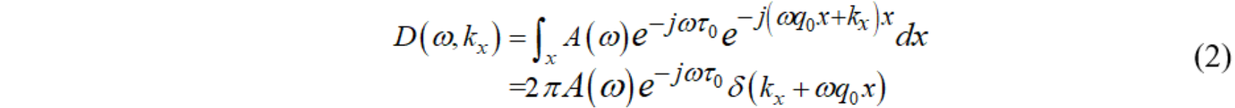
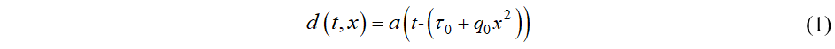
將地震數據用小波表示

其FK譜為


故波數帶寬為


根據采樣定理,得到曲率范圍應滿足


同理,


即,曲率范圍和采樣間隔均應與頻率成反比,如圖1(a)點狀區域所示。

而常規PRT中,有


其采樣方式如圖1(a)紅色叉號所示。

根據式(3)計算并對比兩種采樣方法的波數帶寬。常規PRT中,頻率越低,波數范圍越窄,導致低頻信息丟失,如圖1(b)紅色矩形框所示;而頻變采樣的波數帶寬較大,能有效避免振幅損失。進一步將整個曲率空間分為三部分:僅一次波區域、一次波和多次波混疊區域和僅多次波區域,如圖2所示。在非混疊區域根據式(4)和式(5)設置曲率參數,在混疊區域仍按照最高頻采樣標準設置采樣間隔,以保證一次波和多次波的高精度區分和靈活濾波。



1 (a)常規曲率采樣和頻變曲率采樣;(b)波數帶寬



2 本文FDCR/CSI PRT采樣方式

實驗結果及分析:

用常規PRT,已有的保幅高階PRT和本文方法處理圖3中的數據。圖4(a)-(c)是第5個剖面的多次波估計結果。可見,常規PRT估計的多次波并不充分,導致圖4(d)中仍有大量多次波殘留;高階PRT和本文方法估計的多次波能量更強,因此圖4(e)(f)中一次波更干凈。



3 原數據





4 (a)-(c)分別是常規PRT、高階PRT和提出方法估計的多次波;(d)-(f)為三種方法的多次波壓制結果。


5為從圖4 (a)-(c)中提取的低頻多次波。可見,本文方法估計的多次波振幅變化信息更豐富。為分析其原因,繪制原數據和三種方法估計多次波的FK譜如圖6所示。不難發現,本文方法掃描的波數范圍更大。說明增大曲率范圍允許更多波數成分被掃描,有助于多次波估計。



5 (a)-(c)分別為從圖4(a)-(c)提取的低頻數據



6 (a)原數據的FK譜;(b)-(d)分別是由常規PRT、高階PRT和提出方法估計多次波的FK


進一步將所有數據按照波到達時排序,如圖7(a)所示,可見其中含有大量的多次波。經常規PRT多次波壓制后,仍有多次波殘差,如圖7(b)所示。而高階PRT和提出方法得到的一次波較干凈,如圖7(c)(d)所示。表1為計算時間對比,顯然,和具有保幅性的高階PRT相比,本文方法用時更少。這說明,本文方法在多次波壓制精度和效率方面都展現出了優勢。



7 (a)原數據。(b)-(d)分別是由常規PRT、高階PRT和提出方法得到的多次波壓制結果



結論:

常規PRT中通常忽略曲率與頻率的關系,造成振幅損失。本文基于FK譜推導了頻變曲率參數的保幅理論,提出FDCR/CSI PRT。和常規PRT相比,本文方法中曲率范圍更寬,促進振幅保護。和已有的保幅高階PRT相比,該方法計算成本更低。多次波壓制實驗證明了提出方法的效果。

通訊作者簡介:

薛亞茹,副教授,博士生導師/碩士生導師,UIUC大學訪問學者。主要從事地震信號處理、反演、人工智能等方面研究。

百家乐官网二代皇冠博彩| 百家乐官网玩法的秘诀| 澳门百家乐博彩能做到不输吗| 百家乐视频无法显示| 荥阳市| 百家乐庄的概率| 黄金城娱乐场| 威尼斯人娱乐城正规吗| 百家乐官网起步多少| 百家乐网上真钱麻将| 天气| 大发888体育在线| 百家乐官网游戏新| Bet百家乐娱乐城| 百家乐赢钱皇冠网| 百家乐官网视频软件| 百家乐赌博破解方法| 百家乐官网庄闲庄庄闲| 威尼斯人娱乐城简介| 百家乐官网十赌九诈| 丰禾国际娱乐| 噢门百家乐玩的技巧| 澳门百家乐官网网上娱乐场开户注册 | 大发88846| 百家乐官网太阳城小郭| 什么是百家乐平注法| 香港六合彩马报| 大地百家乐的玩法技巧和规则 | 真人百家乐轮盘| 大三元百家乐官网的玩法技巧和规则| 大发888娱乐游戏下载 客户端| 百家乐开户送8彩金| 百家乐官网园选蒙| TT国际娱乐城| 百家乐另类投注法| 百家乐官网破解视频| 百家乐导航| 88娱乐城备用| 威尼斯人娱乐城会员| 百家乐过滤软件| 百家乐9人桌|