澳门银河赌场注册送38-澳门银河赌场招人好招吗_百家乐德州_全讯网下载 (中国)·官方网站

您所在的位置:首頁 - 科學研究 - 科研動態

科研動態

基于物理過程的異構圖注意力網絡河流原油泄漏擴散模擬

中文題目:基于物理過程的異構圖注意力網絡河流原油泄漏擴散模擬

論文題目Physically-based simulation for oil leakage and diffusion on river using heterogeneous graph attention network

錄用期刊Heliyon (JCR Q2)

作者列表

1 連遠鋒 中國石油大學(北京)信息科學與工程學院/人工智能學院 計算機系教師

2 高浛釗 中國石油大學(北京)信息科學與工程學院/人工智能學院 計算機技術專業 碩21

3) 紀連恩 中國石油大學(北京)信息科學與工程學院/人工智能學院 計算機系教師

4) 董紹華 中國石油大學(北京)安全與海洋工程學院 安全工程系教師

摘要:

輸油管道穿越河流上發生事故時,模擬原油在水面擴散與污染效果對制定救援方案具有重要意義。針對現有的河流溢油模擬方法無法呈現符合物理過程的擴散效果以及模擬速度過慢問題,提出融合Mixture模型的河流溢油兩相流模擬方法。首先,在無發散光滑粒子流體動力學方法的基礎上提出了一種改進的混合流體擴散方法(Mixture Tension Divergence-Free SPH, MTDF-SPH),用于模擬原油與水之間的不混溶相的混合和分解效果。其次,為了加速模擬結果的獲取,提出了一種基于物理感知的異構圖注意力網(Physics-Aware Graph Attention Network, PAGAT),通過兩相流物理感知模塊消除教師網絡和學生網絡的差異。最后,在不同工況條件下,分別對原油在河流表面泄漏擴散物理過程和油品泄漏擴散形態進行分析。實驗結果表明,文中方法實現了河流表面原油泄漏擴散的高效模擬。


背景與動機:

基于物理過程的多相流模擬在電影特效、工業生產、災難仿真等領域有重要研究價值。隨著油氣資源廣泛開采運輸和開發利用,穿越河流的輸油管道泄漏會對生物和自然環境造成極大損害。目前對原油污染流體模擬與分析已進行諸多研究工作,但是大多數聚焦于海洋原油污染和土壤原油污染,對河流水域原油泄漏和擴散過程研究較少。準確和高效地解決原油在水面的模擬問題具有重要意義。


設計與實現:

首先,本文提出了一種河流溢油擴散模擬方法MTDF-SPH,使原油泄漏擴散過程滿足不混溶多相流擴散物理規律。其次,為了提高模擬速度,設計了一種基于異構圖注意力機制的物理感知網絡PAGAT,該網絡使用MTDF-SPH方法生成的數據集進行訓練,并使用知識蒸餾方法對該網絡進行壓縮和優化,在保證模擬精度的同時加快模擬速度。最后,針對不同工況進行準確性和魯棒性實驗并得到了很好的模擬效果。


主要內容:

MTDF-SPH算法

如圖1所示,基于光滑粒子流體動力學框架結合混合模型和表面張力模型,構建了一種無散度模擬方法MTDF-SPHMTDF-SPH能夠真實地模擬流體各相在方向和位置上的變化。



1 MTDF-SPH溢油擴散示意圖


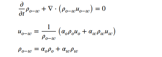
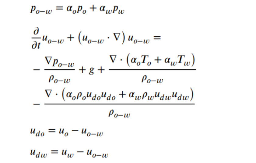
混合物的連續和動量方程可以表示為:






其中,ρo?wpo?w分別為油水混合物的壓力和密度,ToTw分別為油和水黏性力張量,uo?w是混合物的速度,udoudw分別為水相和油相的漂移速度。表面張力中粒子間的相互作用力方程為:

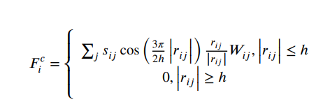
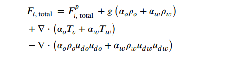
其中,是粒子間相互作用力的強度因子,rij是粒子ij之間的距離,h是粒子的SPH核半徑。粒子的運動方程為:





其中,是作用于粒子i的合力,而是表面張力。


PAGATNet模型

如圖2所示,為了從油、水兩相流提取特征以獲得更詳細的特征信息,這里提出了一種溢油擴散模擬網絡PAGATNet。設計了知識蒸餾方法以提高網絡的魯棒性和收斂性。



2 PAGATNet框架


如圖3所示,表面粒子與內部粒子受到不同的力,為了提取不同流體粒子的力特征,設計了融合三種不同機制的注意力圖模塊(Attention Graph Network Block, AGNB)。為了提高模擬精度,將AGNB與物理感知模塊相結合。盡管教師模型能夠準確地描述多相流的相互效果,但其不具備輕量級和高效率的特性,為此我們提出了特征響應知識蒸餾(Feature-Response Knowledge Distillation, FRKD)來壓縮并微調模型結構。



3 -水界面表面張力示意圖

實驗結果及分析:



4 兩相流體交互渲染結果


如圖4所示,兩組流體以相反方向注入容器中,在粒子發生碰撞后落到底部。在使用DFSPH方法進行模擬時,兩組流體主要的交互方式是粒子與容器邊界的碰撞,而粒子之間的碰撞較少。使用MTDF-SPH方法進行模擬時,兩組流體在接觸后會發生碰撞,落容器的底部后產生分層。



5 河流溢油從第2300幀到第2390幀的MTDF-SPHGNSPAGATNet_AGNBPAGATNet模擬結果。


如圖5所示,GNS模擬的溢油邊緣與MTDF-SPH存在較大差異。由于PAGATNet_AGNB移除了AGNB模塊無法處理表面張力和多相流相互作用力,模擬結果溢油分布稀疏。盡管PAGATNetMTDF-SPH的模擬結果在溢油擴散的前沿略有不同,但能夠真實地模擬河流中游和上游的溢油形狀。


1 河流原油泄漏模擬算法的T幀生存時間比較


由于SPH算法中融入了混合模型和表面張力模型,導致油泄漏模擬的時間有所增加。如表1所示,在第3100幀時,MTDF-SPH所需的時間比DFSPH增加了13.84%。因此,需要優化MTDF-SPH算法以提高其模擬效率。


2 基于河流原油泄漏污染數據集的運行時間和模型誤差比較



為了驗證模擬算法的效率,我們比較了MTDF-SPHDPI-NetsGNSPAGATNet在真實河流上模擬原油泄漏的情況。如表2所示,與其它算法相比,PAGATNet顯著減少了整體計算時間。當模擬幀數為130時,PAGATNet所需的時間比MTDF-SPH少了45.57%。這表明,相較于其他算法,PAGATNet在模擬計算中具有更高的效率。


結論:

本文針對河流溢油擴散的兩相流模擬問題,提出了一種新的模擬方法。基于混合模型、表面張力模型和DFSPH方法構建了模擬模型MTDF-SPH。為了加速兩相流模擬,采用知識蒸餾方法設計了一種異構圖注意力網絡PAGATNet。通過多個實驗證明了本文方法在模擬河流溢油時具有更高的穩定性。


作者簡介:

連遠鋒,教授、碩士生導師。研究方向為圖像處理與虛擬現實、機器視覺與機器人、深度學習與數字孿生。

百家乐官网在线娱乐场| 百家乐庄闲作千| 百家乐官网现金网信誉排名| 免水百家乐的玩法技巧和规则| 百家乐官网顶尖高手| 大发888网址官方| 百家乐官网娱乐城备用网址| 威尼斯人娱乐平台最新地址| 永利线上娱乐| 代理百家乐试玩| 娱乐百家乐官网下载| 太阳城百家乐官网软件| 运城百家乐的玩法技巧和规则| 太阳城百家乐官网如何看路| 百家乐单机破解版| 百家乐官网赌场技巧大全| 蒙特卡罗国际| 百家乐群shozo| 云鼎百家乐官网作弊| 龙岩棋牌乐| 百家乐博彩免费体验金3| 百家乐游戏平台有哪些哪家的口碑最好| 百家乐官网斗地主在哪玩| 大发888信用| 至尊百家乐qvod| 菲律宾百家乐官网赌场娱乐网规则| 百家乐官网投注打三断| 百家乐官方网站| 大发888黄金版下载| 百家乐太阳城球讯网| 免费百家乐官网追号工具| 百家乐官网投注外围哪里好| 澳门玩百家乐官网赢1000万| 澳门顶级赌场娱乐城| 二八杠下载| 威尼斯人娱乐场 赌场网址| 大世界百家乐娱乐网| 博彩百家乐软件| 百家乐中B是什么| 百家乐在线怎么玩| 做生意发财招财图像|