澳门银河赌场注册送38-澳门银河赌场招人好招吗_百家乐德州_全讯网下载 (中国)·官方网站

您所在的位置:首頁 - 科學研究 - 科研動態

科研動態

發掘波阻抗反演方程

中文題目:發掘阻抗反演方程

論文題目Discovering Acoustic Impedance Inversion Equation

錄用期刊/會議IEEE Transactions on Geoscience and Remote Sensing(中科院大類一區,TOP期刊

原文DOI10.1109/TGRS.2025.3565825

原文鏈接:https://ieeexplore.ieee.org/document/10981438

錄用/見刊時間:2025.04

作者列表

1)李柏謀 中國石油大學(北京)人工智能學院 人工智能專業 碩22

2)魯   強 中國石油大學(北京)人工智能學院 智能科學與技術系 副教授

3)Jake Luo  University of Wisconsin Milwaukee  Department of Health Informatics and Administration  Associate Professor

4)王智廣 中國石油大學(北京)人工智能學院 計算機科學與技術系 教授

摘要:

傳統波阻抗反演方法依賴數學與物理模型來估計地下波阻抗分布,但這些方法難以準確擬合復雜阻抗數據。而深度學習方法在阻抗反演中實現了更高精度與效率,但由于其仍屬于黑箱模型,缺乏可解釋性,難以分析其有效性的內在機理。為克服傳統方法與深度學習的局限性,本文提出AII-SR(基于符號回歸的波阻抗反演),通過從阻抗數據中發現偏微分方程(PDEs)來建模波阻抗反演過程。為實現PDE發現,AII-SR采用對偶學習框架:首先構建基于Robinson褶積原理的正演模型,確保預測結果的物理一致性與可靠性;繼而建立融合符號回歸PDE生成器與物理信息求解神經網絡(PSNN)的反演模型,識別能精確擬合阻抗數據的偏微分方程。實驗表明,AII-SR在SSEI、TCN和Se-Unet等深度學習方法中展現出更優的精度與可解釋性優勢。該方法生成具有簡明數學表達式形式的可解釋PDE,為深入理解地震數據與阻抗數據間的物理關聯提供了新視角。

背景與動機:

傳統波阻抗反演方法基于數學物理模型構建地下波阻抗分布,但在復雜阻抗數據的精確表征方面存在局限。盡管深度學習方法通過數據驅動模式顯著提升了反演精度與計算效率,但其黑箱特性導致模型缺乏可解釋性,難以揭示反演機理。為此,本研究將傳統方法的物理可解釋性與深度學習的泛化能力相融合:通過構建AII-SR框架,在利用神經網絡處理復雜反演數據集的同時,從中提取表征地震數據與阻抗數據物理關聯的偏微分方程(cfec7ff779dd3a1e2215b1953d1ce7e.png)。值得強調的是,由于cfec7ff779dd3a1e2215b1953d1ce7e.png以偏微分方程形式表征,其方程結構不僅包含具有明確物理意義的微分項(如 6ce748b638792029954745a9c61d111.png ),更通過數學形式(如65a2997d2682e42cb565051a84af263.png)揭示了這些物理量間的定量關系,從而為阻抗反演問題提供了具有物理可解釋性的數學建模新范式。

設計與實現:

AII-SR通過正向模型與反演模型構成的對偶學習框架協同工作,共同揭示地震數據S與波阻抗數據I的物理關聯。在該框架中,正向模型基于Robinson褶積原理,通過波阻抗數據正向推演實現地震數據的正演計算;反演模型則通過構建偏微分方程(PDE)來表征二者的物理關聯,并基于地震數據與隨機采樣數據聯合求解該PDE,最終實現波阻抗數據的反演輸出。

  image.png

圖1 AII-SR框架示意圖  (a) 框架總體架構

AII-SR框架由兩大核心模塊構成:1. 正演模型:基于Robinson卷積模型構建,將聲阻抗數據映射為地震數據。2. 反演模型:通過物理約束實現阻抗反演。(b) 物理關聯建模模塊。該模塊以地震數據S為輸入,通過神經網絡計算圖提取與阻抗I相關的偏導數項,如6ce748b638792029954745a9c61d111.png,建立數據間的數學關聯。 (c)方程發現模塊(uDSR)。從候選函數集中自動篩選最優偏微分方程(PDE),定量描述地震數據與阻抗的物理關系。(d) PDE求解模塊。 對選定PDE進行數值求解,獲得潛在解57370c8ca82d7a729dad9eccdcea871.png,實現阻抗反演。(e)誤差補償模塊。引入修正項1c639ef0a6da426fc89eaf96776d59e.png ,用于補償PDE建模中的噪聲干擾與數值求解誤差。 (f)多目標損失函數。結合方法學中定義的損失函數a31ea05e701dbb1d1a3d6bb66d5ff1d.pngb57ba4c0cffa100141f516965ce8c45.png,分別約束反演結果與觀測數據的匹配度、初始條件及邊界條件的物理一致性。

實驗結果及分析:

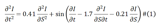
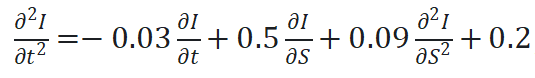
AII-SR在兩個合成數據集:MarmousiII,Overthrust以及一個現場數據集:荷蘭近海 F3 區塊數據集進行了實驗評估。結果表明,AII-SR在各個量化評估指標上優于其他算法,如圖2、圖3、圖4,圖5,圖6所示。同時AII-SR能夠發現簡潔偏微分方程(PDEs),這些方程能夠表征波阻抗反演過程潛在的數學規律。對于各個數據集,AII-SR輸出的PDE如公式1,2和3所示。

image.png

圖2 MarmousiII數據集實驗結果

image.png 

圖3 MarmousiII數據集量化指標

6b9d5f3268ce4956ee8c59f81fe8ac7.png 

image.png 

圖4 Overthrust數據集實驗結果

image.png 

圖5 Overthrust數據集量化指標

12b277ea90e0b5237eb539cd7399843.png 

image.png

圖6 (a)現場地震記錄數據(b)F3數據集實驗結果

f8028d161648a97aeda9cdef1437e31.png 

同時在MarmouII數據集上對AII-SR進行了消融實驗,結果如圖7和8所示。

image.png 

圖7 消融實驗結果

image.png 

圖7 消融實驗量化指標

結論:

本文設計了一種新的基于符號回歸的波阻抗反演算法(AII-SR)。AII-SR通過融合符號回歸與物理信息神經網絡實現波阻抗反演。其核心創新在于能夠發現表征地震數據與阻抗數據物理關聯的可解釋偏微分方程(PDE),同時保持高精度反演能力。相較于傳統神經網絡方法,AII-SR基于PDE的建模方式展現出更優的泛化性能,尤其在小數據集場景下可有效捕捉潛在物理規律。所集成的物理信息求解神經網絡(PSNN)通過補償PDE求解誤差與數據噪聲干擾,進一步提升了求解精度。實驗表明,AII-SR在準確性和可解釋性之間的平衡方面優于現有的波阻抗反演方法,同時可以快速且穩定地得到波阻抗方程。

AII-SR通過實現高精度與可解釋性的統一,有效彌補了現有方法的不足,為地球物理勘探提供了兼具數據驅動精度與物理解釋性的新型工具,不僅推動了波阻抗反演領域的發展,更為復雜地下結構解析開辟了新路徑。

通訊作者簡介:

魯強:副教授,博士生導師。目前主要從事演化計算和符號回歸、知識圖譜與智能問答、以及軌跡分析與挖掘等方面的研究工作。

聯系方式:luqiang@cup.edu.cn


百家乐改单软件| 阴宅24山坟前放水口| 百家乐官网ho168平台| 博彩百家乐字谜总汇| 威尼斯人娱乐平台注册| 迪威百家乐官网娱乐场| 环球娱乐城| 百家乐智能分析| 百家乐官网单机游戏免费下| 多彩国际娱乐| 大发888亚洲游戏| 百家乐官网的玩法和技巧| 百家乐英皇娱乐场开户注册| 专业百家乐官网筹码| 乐利来国际| 百家乐筹码防伪套装| 真人版百家乐官网试玩| 大发888| 百家乐桌子北京| 64风波| 大发888平台| 澳门百家乐实战视频| 郑州百家乐官网的玩法技巧和规则| 百家乐官网游戏出售| 大发888登录| 百家乐号破| 百家乐官网21点桌| 大发888娱乐城电话| 澳门百家乐路单怎么看| 饿火命适合做生意吗| 平塘县| 博彩公司大全| 大发888游戏平台 送1666元礼金领取lrm | 百家乐官网德州扑克桌布| 网络百家乐官网投注| 网上百家乐官网新利| 灵璧县| 大同市| 皇冠百家乐官网代理网| 百家乐官网视频美女| 百家乐官网娱乐城公司|