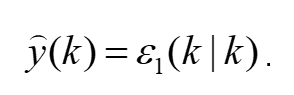
澳门银河赌场注册送38-澳门银河赌场招人好招吗_百家乐德州_全讯网下载 (中国)·官方网站

您所在的位置:首頁 - 科學研究 - 科研動態

科研動態

一類非線性離散系統基于非線性濾波器的魯棒自適應控制方法

中文題目:一類非線性離散系統基于非線性濾波器的魯棒自適應控制方法

論文題目A novel nonlinear filter-based robust adaptive control method for a class of nonlinear discrete-time systems

錄用期刊/會議:processes (JCR Q2)

原文DOI:https://doi.org/10.3390/pr12010171

原文鏈接:https://www.mdpi.com/2227-9717/12/1/171

錄用/見刊時間:2024.1.11

作者列表

1)趙澤一 中國石油大學(北京)信息科學與工程學院/人工智能學院 計算機科學與技術 本21

2)王   珠 中國石油大學(北京)信息科學與工程學院/人工智能學院 自動化系教師

3)王   倩 中國石油大學(北京)信息科學與工程學院/人工智能學院 控制科學與工程 碩21

摘要:

本文介紹了一種利用非線性濾波器的創新自適應控制方法對于非線性離散時間系統的特定子集,考慮輸入和輸出噪聲。該系統可以轉換為非線性自回歸移動平均外源輸入(NARMAX)模型。將離散Nussbaum增益的概念引入解決與未知前饋或控制方向相關的理論約束增益,并且引入了擴展的自適應調諧序列以促進參數更新。在無噪聲的情況下,漸近輸出跟蹤和全局穩定性是通過自適應控制實現。此外,在存在輸入噪聲和輸出噪聲的情況下設計了一種新穎的非線性濾波器來產生更準確的濾波輸出,這提高了控制系統準確適應和跟蹤的能力。最后,提供了示例來展示方法的有效性和準確性。

背景與動機:

近年來,人們對連續非線性系統的自適應控制進行了大量的研究。許多工業過程表現出非線性行為,并且已經開發了各種用于識別非線性系統的方法,這些方法可以應用于輸入非線性系統,輸出非線性系統以及輸入和輸出非線性的系統。這一努力需要對后退設計方法進行深入的研究,擴大其范圍以滿足非線性連續時間系統的需要。這種系統可以有效地轉換為輸出反饋形式或參數嚴格反饋形式。這些調查的結果也被擴展到包含連續多輸入多輸出(MIMO)系統的領域。盡管在理解連續系統中的自適應控制方面取得了相當大的進步,但值得注意的是,這些發現的離散對應物還沒有得到相應的探索。

設計與實現:

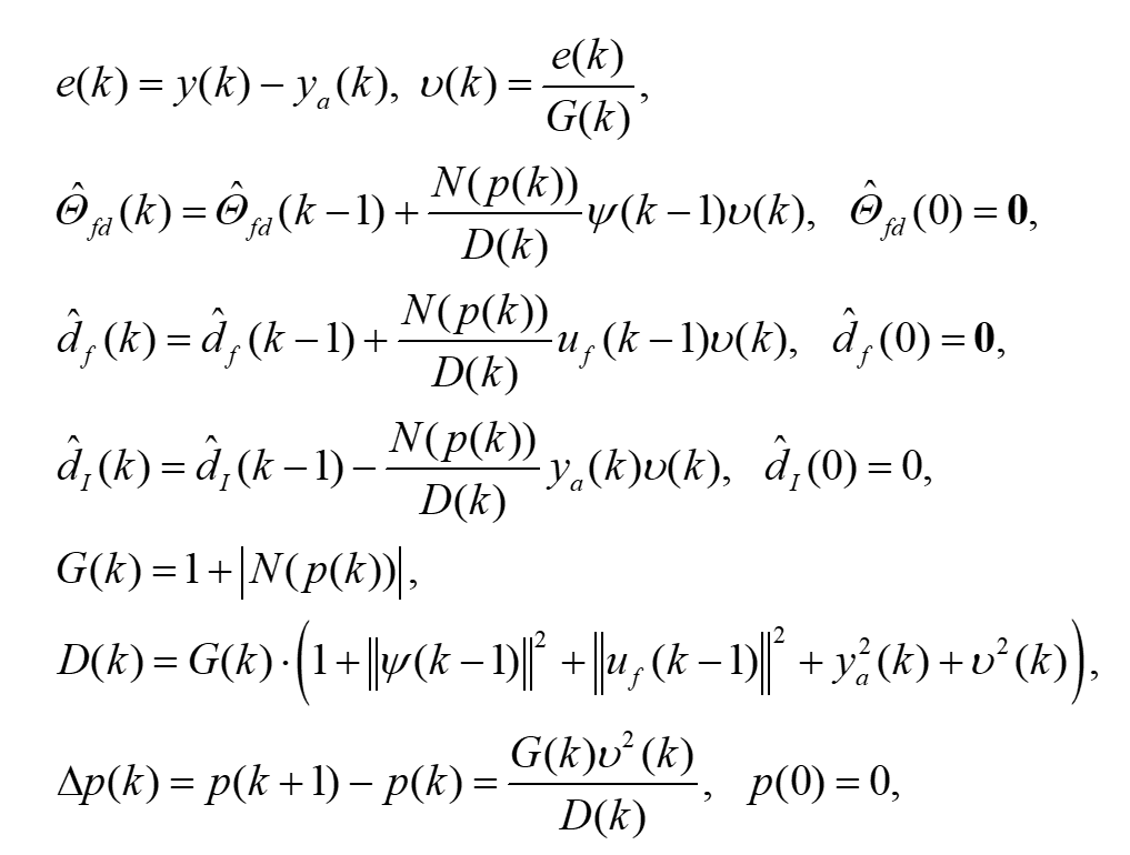
1、無干擾自適應控制設計

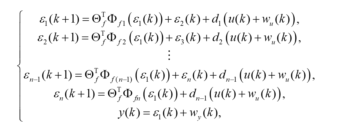
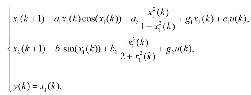
考慮如下輸入前饋輸出反饋形式的非線性SISO離散時間系統:

(1)

其中,


(2)

在無噪聲情況下,即圖片.png考慮自適應控制方案。在不存在輸入噪聲和輸出噪聲的情況下,將式(2)中的所有方程迭代代入合并,可以得到如下系統方程:


(3)

產生的殘差可以用下式表示,


(4)

在式(4)中,存在未知的前饋增益d1,使得在不知道d1的情況下遞歸參數估計具有挑戰性,并且確定參數估計的更新方向是一個挑戰。

因此,為了解決這一限制,引入了離散Nussbaum增益。離散Nussbaum增益N(p(k))可以表示為

(5)

通過將離散Nussbaum增益引入參數估計,我們得到如下更新規律:


(6)

其中u(k)為增廣誤差,D(k)為歸一化序列。根據p(k),確定圖片.png

序列p(k)很好滿足。

為了加快參數更新過程,采用了一個修正的自適應調諧因子來更新律?;诜沁f減非負序列p(k),可將調諧因子描述為

(7)

通過引入擴展自適應調諧因子,可以將式(6)中的參數更新過程修改為:

(8)


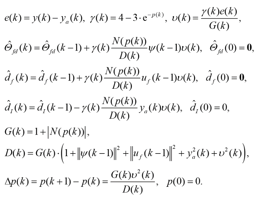
2、 一種基于非線性濾波的擾動自適應控制方法

針對存在輸入噪聲和輸出噪聲的非線性離散系統,提出了一種新穎的非線性濾波器,即圖片.png
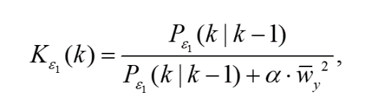
通過這種非線性濾波器,可以得到更精確的濾波輸出?;诳柭鼮V波方程理論,研究了非線性系統狀態估計的有效估計技術。根據卡爾曼濾波器,時間更新和測量更新方程也可以推廣到非線性濾波器中,在存在噪聲的情況下作為狀態觀測器,設計了一個非線性濾波器。

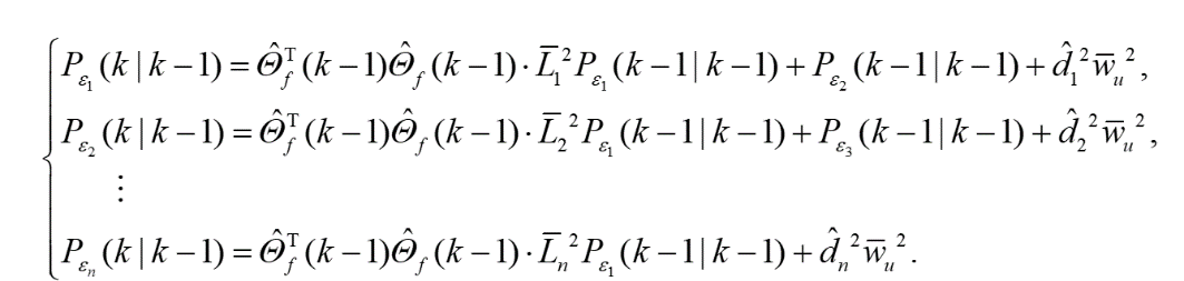
非線性濾波器的時間更新方程為:

(9)

(10)


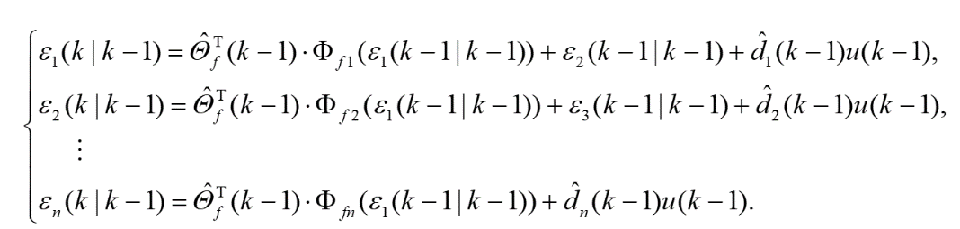
非線性濾波器的測量更新方程為:

(11)

(12)

(13)


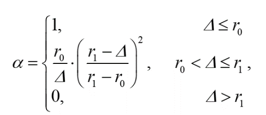
根據參考文獻中自適應因子的設計,α項可取為

(14)

為了獲得更精確的濾波輸出,期望能夠跟蹤參考軌跡,將非線性濾波器的輸出設置為第一濾波子系統狀態。在歷元k處的濾波輸出描述為

(15)

為了發展濾波輸出的自適應控制,我們定義

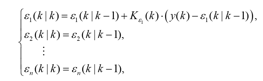
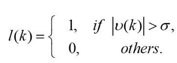
必須修改遞歸參數更新律(6)。使用參考文獻中的死區方法,使用項l(k)來設置更新過程的閾值。因此,利用濾波后的輸出,參數更新規律如下:

(16)

利用式(9)-(14)中的非線性濾波算法,并應用具有參數更新律的自適應控制,給出了一種完整的基于非線性濾波的魯棒自適應控制方法。


實驗結果及分析:

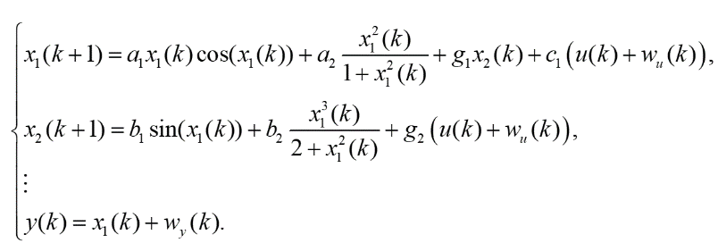
1:考慮以下無噪聲二階離散非線性系統

采用具有遞歸參數更新律的一般自適應控制,進行了兩次仿真,證明控制系統的自適應性不受與第一子系統狀態相關的前饋增益方向c1變化的影響。因此,第一次假定c1項為負值。然后,在模擬系統的第二次運行中假設為正c1。結果如圖1-3所示。圖1不僅顯示了輸出和參考的比較,還顯示了跟蹤誤差和基準0的比較。很明顯,無論是負增益還是正增益c1,自適應方法在無噪聲情況下都是有效的??丶斎氲挠薪缧匀鐖D2所示。最后,離散Nussbaum增益N(x(k))如圖3所示。很容易看出,離散努斯鮑姆增益在兩個方向上搜索以檢測參數更新方向。

圖1 例1的追蹤表現比較


圖2 例1的輸入控制


圖3 例1中的Nussbaum 增益N(x(k))



2:在存在輸入噪聲和輸出噪聲的情況下,考慮一個類似的離散非線性系統:

輸入和輸出噪聲滿足,

初始狀態和期望的參考軌跡與例1中相同。采用式(9)-(14)中的非線性濾波方法,并采用遞歸參數更新律和自適應控制,可以得到濾波后輸出的跟蹤性能。需要注意的是,擴展的自適應調諧序列和閾值分別取圖片.png

此外,還將所提出的非線性濾波器的結果與使用通用自適應方法提供的結果進行了比較。比較結果如圖4-6所示。圖 4 顯示了跟蹤性能的比較。輸入有界性和離散Nussbaum增益分別如圖5和圖6所示。


圖4 例2的追蹤表現比較


圖5 例2的輸入控制


圖6 例2中的Nussbaum 增益N(x(k))


例3:考慮正項c1=0.4的情況。在與例2相同的輸入噪聲和輸出噪聲存在的情況下,仿真模型和所有其他系統參數也與例2相同。初始狀態和期望的參考軌跡與例1相同。通過使用非線性濾波器和相應的自適應控制方案,可以得到濾波后輸出的跟蹤性能;閾值設為圖片.png


與例2類似,不同自適應控制方案的對比結果如圖7-9所示。跟蹤性能的比較如圖7所示。


此外,圖8說明了輸入有界性的結果。圖9描述了離散Nussbaum增益的比較。從例2、例3和圖4-9中,我們可以得出以下結論:

1.無論c1 > 0還是c1 < 0,基于非線性濾波器的自適應控制方法都能比一般自適應控制方案更準確地顯示跟蹤性能;

2. 為了跟蹤參考軌跡,采用基于非線性濾波器的自適應控制方法實現了小超調量和短沉降時間;

3. 在所有比較示例中,控制輸入都是有界的;

4. 所提出的識別算法采用離散Nussbaum增益,可以設計成在兩個方向內檢測模型參數的方向。


圖7 例3的追蹤表現比較


圖8 例3的輸入控制


圖9 例3中的Nussbaum 增益N(x(k))

結論:

本文提出了一種新的基于非線性濾波器的自適應控制方法,并將其引入到一類具有輸入和輸出噪聲的非線性離散系統中。該方法結合了輸入前饋和輸出反饋。為了解決確定參數估計更新方向的問題,利用離散努斯鮑姆增益,以及擴展的自適應調諧序列來加快更新的過程。該方法同樣適用于無噪聲系統,并證明了無噪聲系統的收斂性。在存在輸入和輸出噪聲干擾的情況下,受卡爾曼濾波方程的啟發,將時間更新和測量更新方程推廣到非線性濾波器中,并證明了算法的收斂性。與一般不加濾波的自適應控制方法相比,該方法在識別過程中隨參數模型的變化呈現自適應的控制率變化。它提供了更好的參數軌跡跟蹤和實時性。相比之下,傳統的辨識方法保持固定的控制率,不隨估計參數的變化而變化。基于非線性濾波器的自適應控制提供了更精確的濾波輸出和更好的參考軌跡跟蹤。仿真結果驗證了理論結果。該方法可應用于工程實踐,實現對此類非線性系統的魯棒自適應控制。

通訊作者簡介:

王珠,男,博士,中共黨員,現任中國石油大學(北京)副教授、碩士生導師。2016年至今在中國石油大學(北京)自動化系工作,現任北京人工智能學會理事、中國化工學會信息技術應用專業委員會青年委員。長期從事系統辨識與智能控制、石化過程故障預警、工藝優化以及基于深度學習的時間序列預測等方面的研究工作,以第一作者或通訊作者身份發表高水平學術論文20余篇。主持國家自然科學基金項目及多個重點企業橫向項目。

百家乐娱乐城代理| 索罗门百家乐的玩法技巧和规则| 木棉百家乐官网的玩法技巧和规则 | 百家乐官网大眼仔小路| 莫斯科百家乐的玩法技巧和规则| 百家乐官网庄闲路| 德州扑克牌| 百家乐国际娱乐场| 百家乐官网超级市场| 长沙市| 万达百家乐娱乐城| 百家乐官网打劫法| 固始县| 大发888娱乐城优惠码| 做生意店铺缺西北角| 博彩网论坛| 新西兰百家乐的玩法技巧和规则 | 甘孜县| 大发888游戏论坛| 澳门百家乐大家乐眼| 博彩百家乐官网网址| 宝马会娱乐城网址| 百家乐双龙出海注码法| 单机百家乐官网破解方法| 现金棋牌评测网| 百家乐号破| 百家乐路单免费下载| 澳门百家乐官网大家乐眼| 全讯网找新全讯网| 真人百家乐官网网络游戏信誉怎么样 | 百家乐官网发牌靴8| 百家乐官网园36bol在线| 优博百家乐官网现金网| 易胜博足球开户| 真人游戏网| 金博士百家乐的玩法技巧和规则| 百家乐下注瀛钱法| 百家乐官网免费注册| 百家乐官网赌场娱乐网规则| 真人百家乐官网开户优惠 | 基础百家乐的玩法技巧和规则|